При батарейном зажигании ток низкого напряжения, получаемый от аккумуляторной батареи или генератора, преобразовывается в ток высокого напряжения при помощи индукционной катушки, а ток высокого напряжения распределяется по свечам цилиндров двигателя специальным распределителем. Ток низкого напряжения, получаемый от аккумуляторной батареи или генератора, используется не только для воспламенения смеси, но и для питания различных потребителей (освещение, сигнализация и др.).
В отличие от батарейного зажигания, при зажигании от магнето источник тока низкого напряжения, преобразователь тока и распределитель тока высокого напряжения объединены в одном агрегате. Следовательно, магнето представляет собой прибор, вырабатывающий ток низкого напряжения, преобразующий его в ток высокого напряжения и распределяющий ток высокого напряжения по свечам цилиндров двигателя.
При зажигании от магнето ток низкого напряжения имеет переменное направление и, будучи преобразованным в ток высокого напряжения, используется только для воспламенения смеси.
Зажигание от магнето в настоящее время применяется у пусковых двигателей дизельных тракторов, в двигателях передвижных электростанций и ряда других.
По конструктивному исполнению магнето бывают: с вращающимся якорем, с вращающимся магнитным коммутатором или с вращающимся магнитом. В настоящее время преобладающее распространение имеет магнето с вращающимся магнитом, принципиальная схема, рабочий процесс и конструкция которого рассматриваются далее.
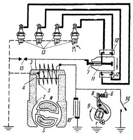
Принципиальная схема магнето с вращающимся магнитом показана на рис. 8.8. Магнитом (ротором) является двухполюсный магнит, вращающийся вокруг своей продольной оси между полюсными башмаками 2 стоек сердечника 3. Железный сердечник с двумя стойками имеет П-образную форму и соединен с массой. На сердечнике намотаны две обмотки: первичная 4 и вторичная 5. Первичная обмотка 4 припаяна одним концом к сердечнику 3,а другим – к неподвижному контакту 6 механического прерывателя. Вторичная обмотка 5 одним концом соединена с первичной, а другим – через центральный контакт и угольную щетку 7 с токоприемником вращающегося электрода. Последний закреплен на барабане (роторе) распределителя. Рычажок 8 подвижного контакта механического прерывателя соединен через пружину с массой. Кулачок 9 механического прерывателя закреплен при помощи винта на магните и вращается вместе с ним. Параллельно контактам механического прерывателя включен конденсатор 10. Барабан (ротор) распределителя вращается между двумя секторами 12 статора. В секторы статора запрессованы неподвижные электроды, к клеммам которых подключены провода от свечей 13. Магнит (ротор) 1 приводится во вращение от двигателя, а барабан распределителя – шестеренчатой передачей от ротора магнита. Выключение зажигания производится выключателем 14. При выключении первичная обмотка замыкается на массу, минуя прерыватель. Искровой промежуток 15 служит для предохранения изоляции вторичной обмотки от повреждения в тех случаях, когда напряжение значительно возрастает.

Рис. 8.8. Зажигание от магнето
Рабочий процесс магнето заключается в следующем. При вращении ротора магнето между полюсными башмаками стоек сердечника через сердечник проходит магнитный поток, пересекающий витки обмоток. За один полный оборот ротора магнитный поток, непрерывно изменяясь, дважды достигает максимальной величины (0 и 180°) и дважды меняет направление.
При вращении ротора в первичной обмотке индуктируется ЭДС, величина которой непрерывно изменяется. Согласно закону электромагнитной индукции ЭДС пропорциональна скорости изменения магнитного потока.
За один оборот ротора ЭДС, индуктируемая в первичной обмотке, дважды достигает максимального значения (90 и 270°). Это происходит в моменты наибольшей скорости изменения магнитного потока, проходящего через сердечник. При положениях ротора, соответствующих 0 (360) и 180, когда скорость изменения магнитного потока равна нулю, ЭДС в первичной обмотке также равна нулю.
В периоды, когда первичная цепь замкнута механическим прерывателем, ЭДС, индуктируемая в первичной обмотке, создает ток. Но первичный ток достигает максимальной величины не в моменты, при которых ЭДС имеет максимальные значения (90 и 270°), а несколько позже. Отставание первичного тока от ЭДС объясняется явлением самоиндукции первичной обмотки.
В моменты, когда ток в первичной обмотке достигает максимального значения, механический прерыватель дважды за один оборот ротора размыкает первичную цепь, а во вторичной обмотке индуктируется ЭДС высокого напряжения.
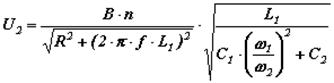
Ток высокого напряжения поступает к распределителю, а затем по проводам высокого напряжения к свече и, пробивая искровой промежуток между ее электродами, воспламеняет рабочую смесь. Так как преобразование тока низкого напряжения в ток высокого напряжения в магнето подобно тому же процессу при батарейном зажигании, то максимальная величина вторичного напряжения может быть определена по уравнению:
.
Величина первичного тока (переменного) магнето равна:
,
где R – активное сопротивление первичной обмотки;
2·π · f ·L1 – индуктивное сопротивление первичной обмотки;
f – частота индуктируемого тока;
L1 – индуктивность первичной обмотки;
п – число оборотов ротора магнето;
В – коэффициент пропорциональности.
В результате получим:
.
Из уравнения следует, что как и при батарейном зажигании, напряжение, создаваемое магнето, изменяется пропорционально величине первичного тока. Но если с увеличением числа оборотов при батарейном зажигании первичный ток и напряжение уменьшались, то при зажигании от магнето первичный ток, а следовательно, и напряжение увеличиваются. Напряжение, создаваемое магнето, зависит от величины первичного тока в момент размыкания контактов механического прерывателя. Максимальное значение вторичного напряжения достигается лишь в том случае, когда момент размыкания контактов выбран правильно и соответствует наибольшему значению тока, индуктируемого в первичной цепи.
Установлено, что наибольшего значения ток в первичной цепи достигает в тот момент, когда ротор поворачивается от своего центрального положения (90, 270°) на 8–10°. В этот момент и должно производиться размыкание контактов механического прерывателя.
Угол, на который поворачивается ротор магнето от центрального положения к моменту размыкания контактов механического прерывателя, называется абрисом магнето.
Сравнение батарейного зажигания и зажигания от магнето.
При батарейном зажигании максимальное напряжение, создаваемое во вторичной обмотке индукционной катушки, с увеличением числа оборотов двигателя уменьшается.
При зажигании от магнето напряжение, создаваемое вторичной обмоткой, с увеличением числа оборотов двигателя увеличивается.
Сопоставление вторичного напряжения в зависимости от числа оборотов позволяет сделать следующие выводы.
1. В период пуска и на малых оборотах батарейное зажигание обеспечивает более высокое напряжение, чем зажигание от магнето. Это облегчает пуск двигателей, снабженных батарейным зажиганием.
2. С увеличением оборотов магнето развивает достаточно высокое напряжение и обеспечивает надежный искровой разряд. Напряжение же, создаваемое батарейным зажиганием, значительно падает, что на больших оборотах может привести к перебоям зажигания.
Из приведенного сопоставления следует, что зажигание от магнето наиболее пригодно для двигателей, преобладающее время работающих с полной нагрузкой (тракторные). Батарейное зажигание наиболее пригодно для двигателей, преобладающее время работающих на малых и средних оборотах и нагрузках с частыми остановками и запусками (автомобильные).
Кроме того, следует учесть, что батарейное зажигание обеспечивает электроэнергией вспомогательные приборы; при зажигании же от магнето это невыполнимо.