СИСТЕМА ЗАЖИГАНИЯ
Система зажигания бензиновых двигателей служит для принудительного воспламенения рабочей смеси, которое осуществляется в результате теплового воздействия электрического разряда между электродами свечей зажигания на молекулы смеси.
Электрическое напряжение, при котором происходит искровой разряд, называют пробивным напряжением Uпр.
Повышение агрегатных мощностей современных двигателей с принудительным воспламенением рабочей смеси достигается, как правило, повышением степени сжатия, увеличением частоты вращения коленчатого вала и числа цилиндров. В этих условиях возрастают требования, предъявляемые к системе зажигания. При увеличении степени сжатия и работе двигателя на обедненной смеси необходимо увеличивать электрическое напряжение между электродами свечи зажигания и энергию электрической искры.
Повышение частоты вращения коленчатого вала и числа цилиндров двигателя приводит к возрастанию числа искровых разрядов в единицу времени и сокращению продолжительности каждого из них. При этом энергия искрового разряда должна быть достаточной для надежного воспламенения рабочей смеси, имеющей различные параметры и состав.
Для своевременного воспламенения рабочей смеси необходимо изменять угол опережения зажигания при изменении скоростного и нагрузочного режимов работы двигателя.
Принципиальная схема батарейной системы зажигания представлена на рис. 8.1. Для преобразования тока низкого напряжения (чаще 12 В) в ток высокого напряжения (15–24 кВ) служит индукционная катушка зажигания, представляющая собой трансформатор с размещенными на сердечнике первичной и вторичной обмотками 4.
Для размыкания цепи тока низкого напряжения предназначен прерыватель 8, параллельно контактам прерывателя подключен конденсатор 7 постоянной емкости 0.2–0.3 мкФ. Ток высокого напряжения от индукционной катушки зажигания по проводам высокого напряжения поступает к распределителю 5, а от него – к свечам зажигания 6. Прерыватель и распределитель конструктивно выполнены в одном устройстве, называемом распределителем. Число выступов кулачка прерывателя равно числу цилиндров двигателя. Привод кулачка прерывателя и ротора распределителя осуществляется одним валом от распределительного вала двигателя, причем у четырехтактных двигателей частота вращения этих валов одинакова. При включении выключателя 2 зажигания от аккумуляторной батареи 1 при замкнутых контактах прерывателя через вариатор 3 ипервичную обмотку индукционной катушки течет ток низкого напряжения.

Рис. 8.1. Принципиальная схема батарейной системы зажигания
Рабочий процесс индукционной катушки разделяется на три периода:
1. замыкание механическим прерывателем первичной цепи и нарастание в ней тока;
2. размыкание механическим прерывателем цепи первичного тока и возникновение ЭДС высокого напряжения во вторичной обмотке;
1. искровой разряд между электродами запальной свечи.
В первый период при замыкании контактов механического прерывателя под действием тока низкого напряжения, проходящего через первичную обмотку индукционной катушки, создается магнитное поле. По мере увеличения магнитного поля в первичной обмотке индуктируется ЭДС самоиндукции. Направление ЭДС самоиндукции противоположно направлению ЭДС аккумуляторной батареи. Это замедляет нарастание тока в первичной обмотке.
К моменту размыкания контактов механического прерывателя первичный ток возрастает до величины, равной:
,
где U – напряжение аккумуляторной батареи, В;
L1 – индуктивность первичной цепи индукционной катушки, Гн;
R – сопротивление первичной цепи, Ом;
tЗ – время, прошедшее с момента замыкания контактов механического прерывателя.
Приведенное выражение характеризует нарастание первичного тока после замыкания механического прерывателя. Из выражения следует, что при прочих равных условиях ток в первичной обмотке возрастает с увеличением времени, замкнутого состояния контактов механического прерывателя.
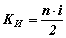
Для четырехтактного ДВС число искр за секунду
.
Период искрообразования, с-1:
.
Время замкнутого состояния контактов (1-й период), с:
,
где kЗ = 0.6–0.65 – отношение между временем замкнутого состояния контактов и временем полного промежутка следующих один за другим искровых разрядов;
n – число оборотов двигателя;
i – число цилиндров.
Из выражения следует, что при прочих равных условиях с увеличением оборотов двигателя ток, соответствующий моменту размыкания, уменьшается.
Во время замкнутого состояния контактов по мере увеличения первичного тока возрастает и магнитное поле. Магнитное поле индуктирует ЭДС самоиндукции в первичной обмотке и одновременно ЭДС во вторичной обмотке. В этот период ЭДС во вторичной обмотке имеет отрицательное направление (рис. 8.2) и сравнительно небольшую величину (из-за медленного нарастания первичного тока), а поэтому недостаточна для образования искрового разряда между электродами свечи.
Рис. 8.2. Изменение первичного тока, вторичного напряжения и вторичного тока | Во второй период при размыкании контактов механического прерывателя ток в первичной обмотке, а следовательно, и магнитное поле резко снижаются до нуля. Вследствие этого в первичной обмотке индуктируется ЭДС в пределах от 200 до 300 В, а во вторичной обмотке ЭДС высокого напряжения от 15 000 до 20 000 В. Из рис. 8.2 следует, что после размыкания контактов механического прерывателя возникает постепенно затухающий переменный ток, образующий колебательный разряд. |
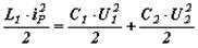
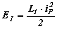
В магнитном поле, образованном в сердечнике индукционной катушки, непосредственно перед размыканием контактов механического прерывателя накапливается энергия, равная:
.
После размыкания контактов, когда ток в первичной обмотке, а значит, и магнитное поле резко снижаются до нуля, эта энергия, накопленная в магнитном поле, переходит в энергию электрического поля условных конденсаторов емкостью С1 и С2, заряжая их до максимального напряжения. Таким образом:
,
где С1 – емкость витков первичной обмотки, сопротивления цепи и конденсатора, представленная в виде “условного” конденсатора, включенного к концам первичной обмотки;
С2 – емкость витков вторичной обмотки и проводов высокого напряжения, представленная в виде “условного” конденсатора, включенного к концам вторичной обмотки;
U1 и U2 – напряжение на условных конденсаторах емкостью С1 и С2.
Из равенства энергий следует, что:

или
.
Учитывая, что отношение числа витков первичной и вторичной обмоток
, и производя подстановку и соответствующие преобразования, получим величину вторичного напряжения:
.
Приведенное выражение показывает, что максимальное напряжение во вторичной обмотке тем больше, чем выше первичный ток в момент размыкания, чем больше индуктивность цепи индукционной катушки, чем больше витков вторичной обмотки и чем меньше емкость “условных” конденсаторов.
Уравнение может быть преобразовано путем подстановки значения первичного тока, тогда:
.
В третий период происходит искровой разряд между электродами свечи. Искровой разряд осуществляется в том случае, если U2 > Uпр. На величину пробивного напряжения значительное влияние оказывают расстояние между электродами свечи, давление и температура сжатой рабочей смеси. Пробивное напряжение тем больше, чем больше зазор между электродами, чем выше давление, меньше температура сжатой рабочей смеси.
Пробивное напряжение увеличивается с увеличением степени сжатия (рис. 8.3а), понижением числа оборотов, увеличением нагрузки двигателя (рис. 8.3б) и по мере обеднения смеси (рис. 8.3в).
В зависимости от указанных условий пробивное напряжение изменяется в широких пределах: от 3600 до 12 500 В.
При работе прогретого двигателя с малой нагрузкой требуется наименьшее пробивное напряжение, от 3500 до 4500 В. Наибольшее пробивное напряжение необходимо при пуске холодного двигателя, а также в период работы двигателя на малых оборотах с полной нагрузкой.
Искровой разряд разделяется на две фазы: емкостную и индуктивную.
а б в Рис. 8.3. Зависимость величины пробивного напряжения от различных факторов | Емкостная фаза характеризуется разрядом между электродами свечи энергии, накопленной к моменту пробоя. Емкостная фаза разряда протекает очень быстро – за время ~ 10-7 с. При этом ток достигает значительной величины (рис. 8.1) и характеризуется пиком тока i2. Индуктивная фаза характеризуется разрядом между электродами свечи остатка энергии магнитного поля индукционной катушки, которая не успела перейти в энергию электрического поля “условных” конденсаторов. Индуктивная фаза разряда протекает замедленно за время ~ 10-3 с. При этом ток снижается до нескольких десятков миллиампер, а напряжение до 1000–3000 В. После первого пробоя, пока не израсходована вся энергия, наблюдаются также несколько последующих емкостных разрядов. Эти разряды подобны первому, но характерны меньшим напряжением. На основании опытных данных предполагается, что воспламенение смеси производится первым разрядом; последующие разряды не оказывают значительного влияния на сгорание смеси. |
Для своевременного воспламенения рабочей смеси необходимо изменять угол опережения зажигания при изменении скоростного и нагрузочного режимов работы двигателя.
Индикаторные диаграммы, снятые при работе с различными углами опережения зажигания, показаны на рис. 8.4.

Рис. 8.4. Индикаторные диаграммы при различных углах опережения зажигания
Сопоставление диаграмм показывает, что если угол опережения выбран правильно, то площадь диаграммы, а следовательно, пропорциональная ей мощность значительно больше, чем при отклонении угла в сторону раннего или позднего зажигания.
Изменение угла опережения зажигания в зависимости от числа оборотов производится автоматически центробежным регулятором (рис. 8.5а).


а б
Рис. 8.5. Изменение угла опережения зажигания в зависимости от числа оборотов (а) и нагрузки (б)
По мере открытия дроссельной заслонки, а следовательно, нагрузки на двигатель, процентное содержание остаточных газов в рабочей смеси уменьшается, а скорость сгорания увеличивается. Изменение оптимального угла опережения зажигания в зависимости от нагрузки показано на рис. 8.5б. Следовательно, при постоянном числе оборотов с увеличением нагрузки угол опережения зажигания необходимо уменьшать. Это производится автоматически вакуум-корректором.
Центробежный регулятор и вакуум-корректор действуют независимо один от другого. Поэтому при совместном действии задаваемые каждым из регуляторов углы опережения зажигания суммируются. Совместное действие центробежного регулятора и вакуум-корректора показано на рис. 8.6.

Рис. 8.6. Совместное действие центробежного и вакуумного автоматов
Величина ЭДС, индуктирующейся во вторичной обмотке, зависит от скорости исчезновения магнитного поля. Чем больше эта скорость, тем выше ЭДС. Но увеличению скорости исчезновения магнитного поля в первичной обмотке препятствует явление самоиндукции.
Самоиндукция сказывается не только при размыкании, но и при замыкании цепи первичного тока (изменение поля). При замыкании цепи ток самоиндукции имеет направление, противоположное основному току, что замедляет скорость его нарастания.
При размыкании первичной цепи индуктируемая ЭДС достигает в ней 200–300 В, а ток самоиндукции имеет направление, совпадающее с направлением основного тока. Это замедляет исчезновение тока в первичной цепи.
Таким образом, при замыкании контактов прерывателя замедляется скорость нарастания тока, а при размыкании не только замедляется скорость исчезновения магнитного поля и понижается ЭДС во вторичной обмотке, но и образуется дуга между контактами механического прерывателя, что приводит к интенсивному их обгоранию.
Конденсатор, включенный параллельно к механическому прерывателю, предотвращает указанные явления. При наличии конденсатора ток самоиндукции заряжает конденсатор. Разряд конденсатора через первичную обмотку происходит после исчезновения первичного тока. Но так как направление разрядного тока противоположно основному, скорость исчезновения магнитного поля значительно возрастает, а ЭДС во вторичной обмотке увеличивается.
Характер нарастания и исчезновения тока в первичной обмотке индукционной катушки без конденсатора и при его наличии показан по рис. 8.7.

Рис. 8.7. Изменение тока в первичной обмотке индукционной катушки
На основе анализа приведенного графика можно сделать следующие выводы:
- При замыкании механического прерывателя ток в первичной обмотке нарастает замедленно и постепенно, что является следствием образования ЭДС самоиндукции.
- При наличии конденсатора, включенного параллельно механическому прерывателю, исчезновение тока происходит значительно быстрее.
Следовательно, конденсатор служит для увеличения скорости исчезновения первичного тока и магнитного поля индукционной катушки (что повышает ЭДС, индуктируемую во вторичной обмотке, и обеспечивает надежный искровой разряд между электродами свечи), а также для уменьшения искрообразования между контактами, предохраняя их от обгорания и увеличивая срок службы.
Добавочное сопротивление (вариатор) выполняется из материала, сопротивление которого при нагревании значительно увеличивается (например, железо или ряд его сплавов).
Характеристика изменения сопротивления вариатора сложная. Вначале по мере увеличения тока, а следовательно, и температуры проволоки, ее сопротивление возрастает незначительно. При дальнейшем повышении тока сопротивление резко возрастает. Таким образом, в зависимости от величины проходящего тока величина добавочного сопротивления автоматически изменяется.
На малых оборотах двигателя, когда время замкнутого состояния контактов прерывателя значительно, а первичный ток почти достигает максимальной величины, температура и сопротивление вариатора резко увеличиваются. При этом ток не превышает допускаемой величины.
С увеличением числа оборотов двигателя, когда время замкнутого состояния контактного прерывателя уменьшается, первичный ток не успевает достигнуть максимальной величины и его среднее значение уменьшается. При этом температура, а также сопротивление вариатора резко снижаются, а напряжение, создаваемое индукционной катушкой, возрастает.
Таким образом, вариатор на малых оборотах двигателя защищает первичную обмотку индукционной катушки от чрезмерного повышения первичного тока, а с увеличением оборотов двигателя поддерживает необходимую величину первичного тока и способствует повышению напряжения во вторичной цепи.
Рис. 8.2. Изменение первичного тока, вторичного напряжения и вторичного тока
а
б
в Рис. 8.3. Зависимость величины пробивного напряжения от различных факторов