Состав и максимальные значения факторов детальной модели
| Фактор | Символ | Макс. значение | Содержание фактора |
| PREC FLEX RESL TEAM PMAT | Fl F2 F3 F4 F5 | 1,33 1,26 1,39 1,29 1,43 | Масштабные факторы Новизна проекта Согласованность с требованиями и интерфейсами Управление рисками и архитектурой проекта Слаженность работы коллектива Технологическая зрелость обеспечения разработки |
| RELY DATA CPLX RUSE DOCU ACAP PCAP PCON APEX PLEX LTEX TOOL SITE SCED TIME STOR PVOL | Ml M2 M3 M4 M5 M9 M10 Mil M12 M13 M14 M15 M16 M17 M6 M7 M8 | 1,54 1,42 2,38 1,31 1,52 2,00 1,76 1,51 1,51 1,40 1,43 1,50 1,53 1,43 1,63 1,46 1,49 | Факторы, влияющие на затраты разработки Требования и характеристики объекта разработки Надежность функционирования Размер базы данных Сложность функций и структуры Требование повторного использования компонентов Полнота и соответствие документации проекта Характеристики коллектива специалистов Квалификация аналитиков Квалификация программистов Стабильность коллектива Опыт работы по тематике проекта Опыт работы в инструментальной среде Опыт работы с языками программирования Технологическая среда разработки Уровень инструментальной поддержки проекта Необходимость распределенной разработки проекта Ограничения длительности разработки проекта Аппаратурно-вычислительная среда разработки Ограниченность времени исполнения программ Ограниченность доступной оперативной памяти Изменчивость виртуальной среды разработки проекта | |

|
|
|
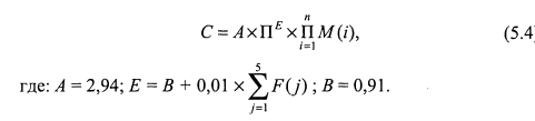
Для прогнозирования длительности (месяцы) разработки ПС рекомендуются выражения:

В модели СОСОМО II поддерживаются вероятностные диапазоны оценок, представляющие одно стандартное отклонение на фоне наиболее достоверных оценок. При использовании представленных выражений для прогнозирования ТЭП конкретных проектов следует выбирать набор факторов (калибровать модель), имеющих наибольшие значения коэффициентов изменения трудоемкости (КИТ) F (j) и М (i) в соответствии с характеристиками конкретного проекта и среды разработки и вставлять выбранные значения в таблицу 5.8. Значения этих коэффициентов и уровни оценок их влияния на трудоемкость по основным выделенным группам факторов представлены в модели СОСОМО II.
Заказчик может заказать разработку специальным образом калиброванной версии коэффициентов в формулах (5.4) и (5.5), которая должна более точно отражать применяемые технологические процессы, особенности и возможности проекта ПС, чем в методике 2. При калибровке модели СОСОМО II последовательно выполняются следующие процедуры для конкретного проекта:
— выбирается набор факторов М (i), оказывающих наибольшее влияние на прогнозируемую трудоемкость проекта ПС;
— устанавливаются значения масштабных факторов F (j);
|
|
|
— для каждого из выбранных факторов производится оценка коэффициента изменения трудоемкости для анализируемого проекта ПС.
Выбор состава и оценку факторов, влияющих на ТЭП конкретного проекта ПС, предварительно целесообразно проводить по шагам при калибровании модели СОСОМО II на основе совокупности 22 факторов из таблицы 5.8. Первоначально должна производиться оценка коэффициентов влияния пяти групп факторов — F (j). В выражениях (5.4), (5.5) значения М (i) отражают коэффициенты влияния i-ых факторов на трудоемкость разработки ПС, которые первоначально (все п) считаются равными единице. Предварительный расчет трудоемкости и длительности разработки ПС при М (i) = 1 может служить уточненным ориентиром, так
5.4. Методика 3 — уточненная оценка технико-экономических показателей проектов...
как он базируется на более точном значении размера проекта комплекса программ и более адекватных значениях основных коэффициентов, чем в методике 2.
Выбирать и учитывать следует те факторы, коэффициенты влияния которых на трудоемкость в конкретном проекте имеют достаточную величину, сбалансированную с точностью определения размера комплекса программ или превышают ее. Эти факторы можно разделить на две группы, которые существенно различаются по степени влияния на трудоемкость разработки ПС. В первую группу — F (j) следует включать, кроме размера и доли повторно используемых компонентов, совокупность факторов, которые способны изменять трудоемкость в несколько (до 3—5) раз:
— новизну проекта комплекса программ;
— необходимую степень согласованности проекта с требованиями технического задания;
— наличие управления рисками и архитектурой проекта;
— уровень обобщенной слаженности и организованности коллективной разработки проекта;
— уровень обеспечения и оснащения технологии разработки по оценке СММ.
Вторую группу — М (i) следует выбирать из совокупности перечисленных в таблице 5.8 семнадцати факторов, таких, которые в конкретном проекте могут повлиять на изменение трудоемкости разработки на 10— 20%, соизмеримое с точностью оценок размера ПС:
— требования надежности ПС;
— требования степени соответствия документации программному продукту;
— тематическая квалификация специалистов;
— технологическая квалификация проектировщиков и программистов;
— стабильность состава коллектива разработчиков;
— ограничения ресурсов объектной ЭВМ реального времени;
—стабильность требований заказчика к задачам и функциям ПС.
Остальная совокупность около десяти факторов модели СОСОМО II
обычно может изменять трудоемкость проекта менее чем на 10%, и их нецелесообразно учитывать в процессе детального проектирования, когда точность оценивания размера проекта ПС может составлять около 10%.
Обобщенные оценки технико-экономических показателей проекта ПС целесообразно представлять в виде таблиц с указанием достоверности оценок результатов расчетов. На основе анализа результатов и оценивания рассчитанных характеристик следует выполнять заключительное технико-экономическое обоснование проекта ПС и определять:
— целесообразно ли продолжать работы над конкретным проектом ПС в направлении детализации требований, функций и технико-экономических характеристик или следует его прекратить вследствие недостаточных ресурсов специалистов, времени или возможной стоимости и трудоемкости разработки;
— при наличии достаточных ресурсов, следует ли провести маркетинговые исследования для определения рентабельности полного выполнения проекта ПС и создания программного продукта для поставки на рынок;
— достаточно ли полно и корректно формализованы концепция и требования к проекту ПС, на основе которых проводились расчеты ТЭП, или их следует откорректировать и выполнить повторный анализ с уточненными исходными данными;
|
|
|
— есть ли возможность применить готовые повторно используемые компоненты ПС, в каком относительном размере от всего комплекса программ, и рентабельно ли их применять в конкретном проекте ПС или весь проект целесообразно разрабатывать как полностью новый.






