Термин «регрессия» ввел английский психолог и антрополог Ф.Гальтон.
Для точного описания уравнения регрессии необходимо знать закон распределения результативного показателя у. В статистической практике обычно приходится ограничиваться поиском подходящих аппроксимаций для неизвестной истинной функции регрессии Д(х), так как исследователь не располагает точным знанием условного закона распределения вероятностей анализируемого результатирующего показателя у при заданных значениях аргумента х.
Рассмотрим взаимоотношение между истинной f(х) = М(у/х). модельной регрессией у и оценкой у регрессии. Пусть результа–тив–ный показатель у связан с аргументом х соотношением:
у=2х1,5 + ε i,
где Ei – случайная величина, имеющая нормальный закон распределения, причем M ε = 0 и dε – δ2.
Истинная функция регрессии в этом случае имеет вид:
f(х) = М(у/х) = 2х11,5 1,5+εi
Для наилучшего восстановления по исходным статистическим данным условного значения результативного показателя f(х) и неизвестной функции регрессии /(х) = М(у/х) наиболее часто используют следующие критерии адекватности (функции потерь).
|
|
|
Согласно методу наименьших квадратов минимизируется квадрат отклонения наблюдаемых значений результативного показателя yi(i= 1, 2,..., п) от модельных значений yi = f(хi), где хi значение вектора аргументов в i – м наблюдении:
Σ(yi – f(хi)2 → min,
Получаемая регрессия называется среднеквадратической.
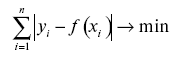
Согласно методу наименьших модулей, минимизируется сумма абсолютных отклонений наблюдаемых значений результативного показателя от модульных значений:
yi= f ( хi )
И получаем среднеабсолютную медианнуюрегрессию:

Регрессионный анализ – это метод статистического анализа зависимости случайной величины у от переменных хj-(j=1, 2,...,k), рассматриваемых в регрессионном анализе как неслучайные величины, независимо от истинного закона распределения хj.






