Труд превращает предметы природы или же сырье в готовый продукт. Эта способность труда называется производительной силой. Производительность труда – это показатель успешности.
Производительность труда – результативность живого труда эффективность производительной деятельности по созданию продукта в течение времени.
Перед статистикой производительности труда стоят задачи:
1) совершенствования методики расчета производительности труда;
2) выявления факторов роста производительности труда;
3) определения влияния производительности труда на изменение объема продукции.
Через показатели трудоемкости и выработки характеризуется производительность труда.
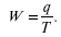
Выработка (W) продукции в единицу времени измеряется соотношением объема произведенной продукции (q) и затратами (Т) рабочего времени (среднесписочная численность):

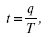
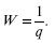
Это прямой показатель производительности труда. Обратным показателем является трудоемкость:

откуда

Выработка показывает, сколько вырабатывается продукции за единицу рабочего времени.
Система статистических показателей производительности труда определяется единицей измерения объема произведенной продукции. Единицы могут быть натуральными, условно–натуральными, трудовыми и стоимостными. Применяют натуральный, условно–натуральный, трудовой и стоимостный методы измерения уровня и динамики производительности труда.
В зависимости от измерения затрат труда различают следующие уровни производительности.
Средняя часовая выработка = объем произведенной продукции / число человеко–часов, отработанных в течение данного периода.
Этот уровень характеризует среднюю выработку рабочего за один час фактической работы.
Средняя дневная выработка = объем произведенной продукции / число человеко–часов, отработанных всеми рабочими предприятия.
Данный уровень показывает степень производственного использования рабочего дня.
Среднемесячная выработка = объем произведенной продукции / среднесписочное число рабочих.
В знаменателе отражаются резервы труда.
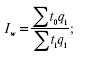
Средняя квартальная выработка определяется аналогично среднемесячной. Средняя выработка характеризуется через соотношение товарной продукции и среднесписочной численности персонала. Между всеми рассмотренными показателями существует взаимосвязь:
W 1 ППП = Wч × Пр.д. × Пр.п. ×dрабочих в ППП,
где W 1 nnn – выработка на одного работника;
W4 – среднечасовая выработка;
Пр.д. – продолжительность рабочего дня;
Пр.п. – продолжительность рабочего времени;
dрабочих в ППП – доля рабочих в общей численности промыш–ленно—производственного персонала.
В зависимости от метода измерения уровня и динамики производительности труда применяют следующие статистическе индексы.
1) натуральный:

2) трудовой:

3) индекс академика С. Г. Струмилина:

4) стоимостный:

В статистической науке для анализа изменения средней выработки под воздействием различных факторов используется система индексов средних величин или система агрегатных индексов В качестве индексируемой величины выступает уровень производительности труда отдельных единиц статистической совокупности, а в качестве весов – количество (в абсолютном выражении) таких единиц с разным уровнем производительности труда или их удельный вес в общей численности (dт):
