ЛЕКЦИЯ №2
« ФОРМУЛА ТЕЙЛОРА »
![]() |
Формулы Тейлора и Маклорена.
Пусть функция
n раз дифференцируема в окрестности точки x0.Найдем многочлен
степени не выше n-1, такой что
,
,,…,
.
Такой многочлен в некотором смысле «близок» к функции
.
Будем искать этот многочлен в форме многочлена, разложенного по степеням
, с неопределенными коэффициентами:
.
Неопределенные коэффициенты
определим так, чтобы выполнялись перечисленные выше условия.
Найдем производные от
:
;
;…
.
Подставляя
вместо
, находим:
,
,
,
, …,
. Отсюда
Þ
,
,
,
,…,
.
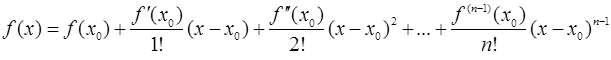
Искомый многочлен будет иметь вид:
, или
.
Этот многочлен мы будем называть многочленом Тейлора.
Оказывается, что справедлива следующая теорема:
Теорема. Пусть функция
n раз дифференцируема в окрестности точки x0. Тогда в этой окрестности для функции
справедлива следующая формула Тейлора:
+
+
.
Здесь
некоторая точка, заключенная между
и
(
), зависящая от
, а
=
- остаточный член в форме Лагранжа.
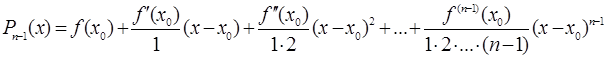
Доказательство: Обозначим через
многочлен
|
|
|
.
Ясно, что для каждого выбранного
существует такое число
, для которого будет выполняться равенство:
. (1)
Покажем, что это число
при уже выбранном
будет равно
при некотором
из промежутка
.
Определим функцию
.
Ясно, что

Следовательно, доказательство мы закончим, если покажем, что в некоторой точке
(
) будет выполняться равенство:
.
Непосредственными вычислениями проверяется (см. многочлен Тейлора!), что для всех
выполняются равенства:
(2)
Число
выбрано таким образом, чтобы выполнялось равенство (1) и, следовательно,
. Таким образом, для функции
на промежутке
[
] выполняются все условия теоремы Ролля. Следовательно, на интервале (
) существует такая точка
, производная функции
, в которой равна нулю, то есть
. Но тогда с учетом (2) теорему Ролля можно применить к функции
на промежутке [
] и так далее. Применяя, в конце концов, теорему Ролля к функции
на соответствующем промежутке, получим точку
, для которой будет справедливо равенство
.
Утверждение доказано.
Если x0=0, то формула Тейлора превращается в формулу Маклорена:
+ 
Заметим, что числа n могут выбираться различными, в зависимости и от наличия у функции производных соответствующего порядка, и от необходимой точности расчетов. Например, формула Тейлора для n=4 будет иметь вид:

Разложение некоторых элементарных функций по формуле Маклорена.
1.
.




Þ
,
где
.
2.
.





Þ
,
где
.
3.
.




,…
Þ
,
где
.
Пример:
Разложить функцию
по формуле Маклорена, взяв 4 слагаемых.
Воспользуемся формулой Маклорена для функции
, заменив x на
(-x):
.
.







