Принимаем следующие допущения:
1) радиальный зазор отсутствует;
2) кольца не деформируются.
3) контактные деформации описываются уравнениями Герца-Беляева.
По условию равновесия подшипника (рис. 14.7)
, (14.1)
где Fr – радиальное усилие;

- угол между телами качения; z – число тел качения.
В уравнение (14.1) входят только те члены, для которых угол ng меньше 900, так как верхняя половина подшипника не нагружена.
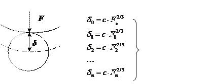
Под действием нагрузки Fr произойдет смещение внутреннего кольца подшипника на величину d0. При этом сдеформируются тела качения, причем величина деформации будет зависеть от положения шарика в нагруженной зоне (рис.14.8). Здесь d0 – смещение в вертикальной плоскости, тогда

(14.2)
С другой стороны по Герцу-Беляеву d = c F 2/3, где c – const, (рис.14.9) тогда
Рис. 14.9
Решая совместно системы (14.2) и (14.3), получаем
, но
, тогда

или
. (14.4)
Подставляем выражение (14.4) в уравнение (14.1) и получаем

откуда
.
или
,
где
.
В практических расчетах принимают
- для шариковых;
- для роликовых подшипников.
В итоге получаем распределение нагрузки по телам качения. Распределение нагрузки в значительной степени зависит от величины зазора в подшипнике и от точности геометрической формы его деталей (рис. 14.10). Поэтому к точности изготовления подшипника качения предъявляют весьма высокие требования.
Кинематика подшипника качения

Рассмотрим случай, когда вращается внутреннее кольцо (рис 14.11). Здесь скорость точки А
.
Точка В – мгновенный центр скоростей вращающегося шарика. Скорость точек шара меняется линейно, таким образом
V 0= V 1/2. (14.5)
Так как V 0 является и скоростью вращения сепаратора, тогда
, (14.6)
где nc – частота вращения сепаратора. Из уравнений (14.5) и (14.6) получаем
отсюда
, так как Dвн = D 0- dw
.
Число оборотов сепаратора меньше половины числа оборотов внутреннего кольца. Последняя формула позволяет отметить, что в точном выражении скорость сепаратора зависит от размеров шарика. Чем больше dw, при постоянном D 0, тем меньше nc и наоборот.
При неточном изготовлении шариков крупные из них будут тормозить, а мелкие ускорять сепаратор. Между сепаратором и шариками могут возникнуть значительные давление и силы трения. С этим связан износ шариков и сепаратора, увеличение потерь на трение в подшипнике и случаи поломки сепаратора.

Контакт шарика с кольцом осуществляется по некоторой дуге a-b-с (рис 14.12). Окружные скорости точек a и b при вращении шарика вокруг своей оси различны. Если допустить, что в точке а (а-с – мгновенная ось вращения) нет скольжения, то оно будет в точке b. Таким образом, в шариковых подшипниках наряду с трением качения наблюдается трение скольжения. Это создает дополнительный износ и потери в шариковых подшипниках. В роликовых подшипниках все точки контакта равноудалены от оси роликов. Здесь наблюдается чистое качение. Потери и износ в роликовых подшипниках меньше, чем в шариковых.