СТАТИСТИЧЕСКИЕ РЕШЕНИЯ ПРИ НАЛИЧИИ ЗОНЫ НЕОПРЕДЕЛЕННОСТИ И ДРУГИЕ ОБОБЩЕНИЯ
СТАТИСТИЧЕСКИЕ РЕШЕНИЯ ДЛЯ ОДНОГО ДИАГНОСТИЧЕСКОГО ПАРАМЕТРА
План лекции
Анализ и проверка домашней работы
Организационный момент.
Ход лекции.
Лекция 9
Тема. МЕТОДЫ СТАТИСТИЧЕСКИХ РЕШЕНИЙ
Цель. Дать понятие о статистических решениях для одного диагностического параметра и для принятия решения при наличии зоны неопределенности.
1. Учебная. Разъяснить процесс принятия решения в различных ситуациях.
2. Развивающая. Развивать логическое мышление и естественное - научное мировоззрение.
3. Воспитательная. Воспитывать интерес к научным достижениям и открытиям в отрасли телекоммуникации.
Межпредметные связи:
· Обеспечивающие: информатика, математика, вычислительная техника и МП, системы программирования.
· Обеспечиваемые: Стажерская практика
Методическое обеспечение и оборудование:
1. Методическая разработка к занятию.
2. Учебный план.
3. Учебная программа
4. Рабочая программа.
5. Инструктаж по технике безопасности.
|
|
|
Технические средства обучения: персональный компьютер.
Обеспечение рабочих мест:
· Рабочие тетради
3. Ответьте на вопросы:
1. Что позволяет определить формула Байеса?
2. В чем состоят основы метода Байеса? Приведите формулу. Дайте определение точного смысла всех входящих в эту формулу величин.
3. Что означает, что реализация некоторого комплекса признаков K* является детерминирующей?
4. Объясните принцип формирования диагностической матрицы.
5. Что означает решающее правило принятия?
6. Дайте определение методу последовательного анализа.
7. В чем состоит связь границ принятия решения с вероятностями ошибок первого и второго рода?
Рассматриваемые методы относятся к статистическим. В методах статистических решений решающее правило выбирается исходя из некоторых условий оптимальности, например из условия минимума риска. Возникшие в математической статистике как методы проверки статистических гипотез (работы Неймана и Пирсона), рассматриваемые методы нашли широкое применение в радиолокации (обнаружение сигналов на фоне помех), радиотехнике, общей теории связи и других областях. Методы статистических решений успешно используются в задачах технической диагностики.
|
Если состояние системы характеризуется одним параметром, то система имеет одномерное пространство признаков. Разделение производится на два класса (дифференциальная диагностика или дихотомия (раздвоенность, последовательное деление на две части, не связанные между собой.)).
Рис.1 Статистические распределения плотности вероятности диагностического параметра х для исправного D1 и дефектного D2 состояний
|
|
|
Существенно, что области исправного D1 и дефектного D2 состояний пересекаются и потому принципиально невозможно выбрать значение х0, при котором не было бы ошибочных решений. Задача состоит в том, чтобы выбор х0 был в некотором смысле оптимальным, например давал наименьшее число ошибочных решений.
Ложная тревога и пропуск цели (дефекта). Эти встречавшиеся ранее термины явно связаны с радиолокационной техникой, но они легко интерпретируются в задачах диагностики.
Ложной тревогой называется случай, когда принимается решение о наличии дефекта, но в действительности система находится в исправном состоянии (вместо D1 принимается D2).
Пропуск цели (дефекта) — принятие решения об исправном состоянии, тогда как система содержит дефект (вместо D2 принимается D1).
В теории контроля эти ошибки называются риском поставщика и риском заказчика. Очевидно, что эти двоякого рода ошибки могут иметь различные последствия или различные целы.
Вероятность ложной тревоги равна вероятности произведения двух событий: наличие исправного состояния и значения х > х0.
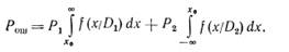
Средний риск. Вероятность принятия ошибочного решения слагается из вероятностей ложной тревоги и пропуска дефекта (математическое ожидание) риска.
Разумеется, цена ошибки имеет условное значение, но она должна учесть предполагаемые последствия ложной тревоги и пропуска дефекта. В задачах надежности стоимость пропуска дефекта обычно существенно больше стоимости ложной тревоги.
Метод минимального риска. Вероятность принятия ошибочного решения определяется как минимизация точки экстремума среднего риска ошибочных решений при максимуме правдоподобия т.е. проводится расчет минимального риска происхождения события при налички информации о максимально подобных событиях.
|
![]() |
рис. 2. Точки экстремума среднего риска ошибочных решений
Рис. 3. Точки экстремума для двугорбых распределений
Отношение плотностей вероятностей распределения х при двух состояниях называется отношением правдоподобия.
Напомним, что диагноз D1 соответствует исправному состоянию, D2 — дефектному состоянию объекта; С21 — цена ложной тревоги, С12 — цена пропуска цели (первые индекс — принятое состояние, второй — действительное); С11 < 0, С22 < 0 — цены правильных решений (условные выигрыши). В большинстве практических задач условные выигрыши (поощрения) для правильных решений не вводятся.
Часто оказывается удобным рассматривать не отношение правдоподобия, а логарифм этого отношения. Это не изменяет результата, так как логарифмическая функция возрастает монотонно вместе со своим аргументом. Расчет для нормального и некоторых других распределений при использовании логарифма отношения правдоподобия оказывается несколько проще. Условие минимума риска можно получить из других соображений, которые окажутся важными в дальнейшем.
Метод минимального числа ошибочных решений.
Вероятность ошибочного решения для решающего правила

В задачах надежности рассматриваемый метод часто дает «неосторожные решения», так как последствия ошибочных решений существенно различаются между собой. Обычно цена пропуска дефекта существенно выше цены ложной тревоги. Если указанные стоимости приблизительно одинаковы (для дефектов с ограниченными последствиями, для некоторых задач контроля и др.) то применение метода вполне оправдано.
Метод минимакса предназначен для ситуации, когда отсутствуют предварительные статистические сведения о вероятности диагнозов D1 и D2. Рассматривается «наихудший случай», т. е. наименее благоприятные значения Р1 и Р2, приводящие к наибольшему значению (максимуму) риска.
Можно показать для одномодальных распределений, что величина риска становится минимаксной (т. е. минимальной среди максимальных значений, вызванных «неблагоприятной» величиной Pi). Отметим, что при Р1 = 0 и Р1 = 1 риск принятия ошибочного решения отсутствует, так как ситуация не имеет неопределенности. При Р1 = 0 (все изделия неисправны) вытекает х0 → -оо и все объекты действительно признаются неисправными; при Р1 = 1 и Р2 = 0 х0 → +оо и в соответствии с имеющейся ситуацией все объекты классифицируются как исправные.
|
|
|
|
Для промежуточных значений 0 < Pi < 1 риск возрастает и при P1= P1* становится максимальным. Рассматриваемым методом выбирают величину х0 таким образом, чтобы при наименее благоприятных значениях Pi потери, связанные с ошибочными решениями, были бы минимальными.
рис. 4. Определение граничного значения диагностического параметра по методу минимакса
Метод Неймана—Пирсона. Как уже указывалось, оценки стоимости ошибок часто неизвестны и их достоверное определение связано с большими трудностями. Вместе с тем ясно, что во всех случаях желательно при определенном (допустимом) уровне одной из ошибок минимизировать значение другой. Здесь центр проблемы переносится на обоснованный выбор допустимого уровня ошибок с помощью предыдущего опыта или интуитивных соображений.
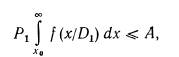
По методу Неймана—Пирсона минимизируется вероятность пропуска цели при заданном допустимом уровне вероятности ложной тревоги. Таким образом, вероятность ложной тревоги

где А — заданный допустимый уровень вероятности ложной тревоги; Р1 — вероятность исправного состояния.
Отметим, что обычно это условие относят к условной вероятности ложной тревоги (множитель Р1 отсутствует). В задачах технической диагностики значения Р1 и Р2 в большинстве случаев известны по статистическим данным.
Таблица 1 Пример - Результаты расчета по методам статистических решений
| № п/п | Метод | Граничное значение | Вероятность ложной тревоги | Вероятность пропуска дефекта | Средний риск | |
| Метод минимального риска | 7,46 | 0,0984 | 0,0065 | 0,229 | ||
| Метод минимального числа ошибок | 9,79 | 0,0074 | 0,0229 | 0,467 | ||
| Метод минимакса | Основной вариант | 5,71 | 0,3235 | 0,0018 | 0,360 | |
| 2 вариант | 7,80 | 0,0727 | 0,0081 | 0,234 | ||
| Метод Неймана—Пирсона | 7,44 | 0,1000 | 0,0064 | 0,230 | ||
| Метод наибольшего правдоподобия | 8,14 | 0,0524 | 0,0098 | 0,249 |
Из сопоставления видно, что метод минимального числа ошибок дает неприемлемое решение, так как цены ошибок существенно различны. Граничное значение по этому методу приводит к значительной вероятности пропуска дефекта. Метод минимакса в основном варианте требует очень большого снятия с эксплуатации исследуемых устройств(примерно 32%), так как исходит из наименее благоприятного случая (вероятность неисправного состояния Р2 = 0,39). Применение метода может быть оправданным, если отсутствуют даже косвенные оценки вероятности неисправного состояния. В рассматриваемом примере удовлетворительные результаты получаются по методу минимального риска.
|
|
|
