Кинетическая и потенциальная энергии колебательного движения

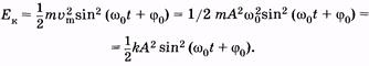
Кинетическую энергию материальной точки, колеблющейся по гармоническому закону, можно вычислить по известной фор­муле, используя выражение (5.12):

(5.24)

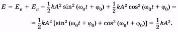
Потенциальную энергию колебательного движения найдем, исходя из общей формулы для потенциальной энергии упругой деформации и используя выражение (5.8):

(5.25)

Суладывая кинетическую (5.24) и потенциальную (5.25) энергии, получаем полную механическую энергию материальной точки, колеблющейся по гармоническому закону:

(5.26)

При отсутствии сил трения полная механическая энергия сис­темы не изменяется:

(5.27)

Графически зависимости кинетической, потенциальной и пол­ной механической энергий колеблющейся системы от времени по­казаны на рис. 5.8.






Подборка статей по вашей теме: