Материальная точка может одновременно участвовать в нескольких колебаниях. В этом случае, чтобы найти уравнение и траекторию результирующего движения, следует сложить колебания. Наиболее просто выполняется сложение гармонических колебаний. Рассмотрим две такие задачи.
Сложение гармонических колебаний, направленных по одной прямой. Пусть материальная точка одновременно участвует в двух колебаниях, происходящих вдоль одной линии. Аналитически такие колебания выражаются следующими уравнениями:

|
Допустим, что частоты складываемых колебаний одинаковы
тогда результирующее смещение точки

Выполним такое сложение с помощью векторной диаграммы. Изобразим положение векторов
и
в начальный момент времени (рис. 5.9), углы между этими векторами и осью ОХ равны начальным фазам слагаемых колебаний j01 и j02. Вектор
— амплитуда результирующего колебания. Так как
и
вращаются с одинаковой угловой скоростью, то и сумма их — вектор
— будет вращаться с той же угловой скоростью, т. е. результирующее движение является гармоническим с круговой частотой
|
|
|
(5.29)
Выразим амплитуду А этого колебания и начальную фазу j1 через заданные значения
Применяя теорему косинусов к треугольнику, заштрихованному на рис. 5.9, получаем

Так как –cos b = -cos [p - (j02 - j01)] = cos (j02 - j01), то
(5.30)
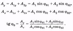
Как видно из рис. 5.9, tg j равен отношению проекции
на ось OY к проекции
на ось ОХ, т. е. Ау /Ах. Учитывая, что проекция суммы равна сумме проекций, имеем
(5.31)
Таким образом, поставленная задача решена: по формулам (5.30) и (5.31) можно найти амплитуду и начальную фазу результирующего колебания. Из выражения (5.30) вытекают следующие частные случаи:

и тогда

|
т. е. амплитуда результирующего колебания равна сумме амплитуд слагаемых колебаний, если разность начальных фаз равна четному числу p (рис. 5.10, а);

тогда

т. е. амплитуда результирующего колебания равна разности амплитуд слагаемых колебаний, если разность начальных фаз равна нечетному числу p (рис. 5.10, б). В частности, при A1 = A2 имеем А = О, т. е. колебания нет (рис. 5.10, в). Это достаточно очевидно: если материальная точка участвует одновременно в двух колебаниях, имеющих одинаковую амплитуду и совершающихся в противофазе, то точка неподвижна. Если частоты складываемых колебаний не одинаковы, то сложное колебание уже не будет гармоническим.
Интересен случай, когда частоты слагаемых колебаний мало отличаются друг от друга:
Результирующее колебание при этом подобно гармоническому, но с медленно изменяющейся амплитудой (амплитудная модуляция). Такие колебания называются биениями (рис. 5.11).
Сложение взаимно перпендикулярных гармонических колебаний. Пусть материальная точка одновременно участвует в двух колебаниях: одно направлено вдоль оси ОХ, другое — вдоль оси OY. Колебания заданы следующими уравнениями:
|
|
|
(5.34)
Допустим, что частоты колебаний одинаковы, т. е.
тогда
(5.35)
Уравнения (5.35) задают траекторию движения материальной точки в параметрической форме. Если в эти уравнения подставлять разные значения t, то можно определить координаты х и у, а совокупность координат и есть траектория. Более наглядно траекторию можно представить в виде зависимости у = f(x), для получения которой следует исключить время из уравнений (5.35). Произведя математические преобразования, получим уравнение эллипса:
(5.36)
Таким образом, при одновременном участии в двух взаимно перпендикулярных гармонических колебаниях одинаковой частоты материальная точка движется по эллиптической траектории (рис. 5.12).
Из выражения (5.36)вытекают некоторые частные случаи:

Это каноническая форма уравнения эллипса, соответствующая симметричному расположению его относительно осей координат (рис. 5.13, а). Из (5.37) при А1 = А2 = R (рис. 5.13, б) получаем уравнение окружности радиусом R:
(5.38)
|
|
|
|
тогда
(5.39)
и после преобразований
(5.40)
Это уравнение прямой линии, в которую вырождается эллипс [рис. 5.14, а соответствует знаку «+» в уравнении (5.40); рис. 5.14, б — знаку «-»].
При сложении взаимно перпендикулярных колебаний разных частот получаются различные траектории материальной точки, названные фигурами Лиссажу.
Вид фигур Лиссажу зависит как от соотношения амплитуд А1 и А2, так и от отношения частот w1/w2 и разности начальных фаз j01 - j 02 слагаемых колебаний (рис. 5.15):
|
|