Оптимальным, в определённом смысле, управлением называется информационный, динамический процесс, целесообразно использующий материальные, энергетические и информационные ресурсы системы для достижения при данных ограничениях экстремума критерия управления.
Лекция 1. Классификация и особенности технологических объектов управления
Раздел 2. Технологические объекты автоматического управления
Прокомментируйте правило переноса звеньев в схеме с обратной связью.
Прокомментируйте правило переноса узла суммирования через звено.
Прокомментируйте правило переноса звена через звено.
Прокомментируйте правило переноса узла разветвления через звено.
Прокомментируйте правило переноса узла суммирования через узел суммирования.
7. Чему равна передаточная функция замкнутой системы с обратной связью если входная величина от задатчика?
8. Чему равна передаточная функция замкнутой системы с обратной связью если входная величина ошибка по нагрузке?
9. Чему равна передаточная функция замкнутой системы с обратной связью если входная величина возмущение по заданию?
|
|
|
Литература по лекции 5.
1.Автоматизация металлургических печей/ Каганов В.Ю., Блинов О.М., Глинков Г.М., Морозов А.М. М.: Металлургия, 1975. С.51-59.
2.Майзель М.М. Автоматика, телемеханика и системы управления производственными процессами. М.: М.: Высшая шкала, 1972. С.152-158.
3.Топчеев Ю.И. Атлас для проектирования систем автоматического регулирования. М.: Машиностроение, 1989. С.67-84
Автоматическое управление печными агрегатами осуществляется на основе информации о начальных условиях, его текущего состояния и конечных результатов. Например, при управлении нагревательной печью начальными условиями являются: марка металла, масса и размеры заготовок, их температура при их посадке в печь, теплота сгорания топлива и т.д. Текущее состояние агрегата и процесса характеризуется температурой рабочего пространства в каждой зоне, коэффициентом расхода воздуха, температурой металла в каждой зоне (для многозонной печи) и т.п. Результаты процесса определяются производительностью печи, равномерностью нагрева металла, потерями металла с окалиной.
Для компенсации возмущающих воздействий надо, чтобы система управления располагала материальными и энергетическими ресурсами, которые должны быть рационально использованы для восстановления оптимальных условий рассматриваемых объектов – ТОУ. Если, например, в нагревательной печи дымосос или дымовая труба не обеспечивает эвакуацию продуктов сгорания, то давление в рабочем пространстве стабилизировать практически невозможно.
В любой системе управления есть ограничения, обусловленные стойкостью самого агрегата (например, максимально допустимой температурой огнеупоров печи), технологией производства (максимально допустимый нагрева металла без оплавления), ресурсами управления (максимально возможный расход топлива, воздуха, кислорода), скоростью изменения управляющих воздействий и т.п. При управлении процессом должны быть учтены все возможные ограничения, обусловленные конструкцией агрегата, технологией процесса и ресурсами управления.
|
|
|
Управляемые процессы протекают во времени, поэтому управляющие воздействия также распределены во времени, т.е. являются динамическими.
Когда говорят о том, что управление должно обеспечить оптимальность работы ТОУ, необходимо указывать, что понимается под оптимальностью, т.е. в каком смысле процесс должен быть оптимальным: в смысле максимальной производительности или минимальной себестоимости продукции, минимальной разности температур по сечению нагреваемого металла и т.д. Критерий управления (производительность, себестоимость, качество) при оптимальном управлении должен достигать своего экстремального значения. Учитывая сказанное выше, можно сформулировать определение оптимального управления:
В структурной схеме САУ независимо от конструкции и характера протекающих в ТОУ процессов под объектом понимают звено, ограничено на входе местом приложения входного воздействия, а на выходе – местом установки измерительного устройства, реагирующего на изменения регулируемой величины. ТОУ является основным, главным элементом в любой САУ. Поэтому для создания системы, обеспечивающей заданное качество управления, необходимо иметь математическое описание ТОУ, выраженное в виде уравнений, характеризующих статические и динамические связи между его входными и выходными величинами.
Существуют аналитические и экспериментальные методы составления математического описания объектов. Составление уравнений аналитическим путём возможно только для относительно простых ТОУ, процессы в которых достаточно хорошо изучены.
Более сложные ТОУ, в которых течение процессов изучено недостаточно, исследуют экспериментально, проведением на действующих объектах опытов по снятию статических и динамических характеристик.
Можно, например, вывести уравнение для объекта, представляющего собой ёмкость, в которую втекает и из которой вытекает газ. В равновесном состоянии давление в ёмкости не меняется и массовые расходы притока Gвх и потребления Gвых равны. Предположим, что в какой-то момент времени приток газа скачкообразно увеличился на величину ∆Gвх, например вследствие открытия крана на притоке. При этом начнётся переходный процесс и давление Р и расход Gвых будут возрастать из-за превышения притока над потреблением. В свою очередь, увеличение давления приведёт к возрастанию расхода газа на выходе из объекта, который будет увеличиваться по мере возрастания давления в ёмкости. Давление Р и расход Gвых будут повышаться до тех пор, пока значение расхода не сравняется с новым значением притока газа в ёмкости. Повышение притока над расходом нарушает материальный баланс, что приводит к увеличению массы газа в ёмкости, а следовательно, и его плотности. Для любого момента времени после изменения притока процесс увеличения массы газа в ёмкости будут подчиняться уравнению
где V – объём ёмкости; ρ – плотность газа в ёмкости.
Согласно равенствам
где Р – давление в ёмкости; m – масса газа в ёмкости; R – газовая постоянная; θ – абсолютная температура газа в ёмкости, получим 
Рассматривая зависимость расхода газа от давления как линейную, можно записать
где с – коэффициент пропорциональности.
Подставив в последнее уравнение предыдущее, получим:
или
, где
- постоянная времени объекта;
- коэффициент передачи ТОУ.
|
|
|
Из дифференциального уравнений следует, что рассматриваемый ТОУ соответствует апериодическому звену с передаточной функцией
.
Объекты управления, описываемые уравнениями апериодического звена, а также те, которые можно представить цепочкой из последовательно соединённых апериодических звеньев, называют статическими, или устойчивыми, объектами. Такие ТОУ обладают самовыравниванием, т.е. способностью объекта после возникшего возмущения через некоторые время приводить параметр к новому установившемуся значению без участия регулятора. Способность ТОУ к самовыравниванию характеризуется степенью или коэффициентом самовыравнивания k c, численно равным отношению величины возмущающего воздействия ∆хвх к отношению регулируемой величины ∆хвых, вызванному этим возмущением: k c=∆х в.вх/∆хвых.
Чем больше коэффициент самовыравнивания, тем легче в нём осуществить управление, Коэффициент самовыравнивания есть обратная величина коэффициента передачи объекта k об= 1/ k c.
Объекты, которые описываются уравнением интегрирующего звена с передаточной функцией
называются астатическими, или нейтральными, В астатическом ТОУ изменение выходной величины при возмущении происходит неограниченно и устанавливается лишь постоянная скорость её изменения. Астатические ТОУ не обладают свойствами самовыравнивания, для них k c=0, а коэффициент передачи объекта условно принимается
, где
- условная постоянная времени, или время разгона ТОУ.
ТОУ, описываемые уравнениями первого порядка, иногда называют одноёмкостными в отличие от многоёмкостных объектов, которые описываются уравнениями более высоких порядков.
Ёмкость – это свойство ТОУ накапливать энергию или вещество. Одноёмкостные объекты характеризуются одной постоянной времени Т, двухёмкостные – двумя Т1 и Т2 и т.д. Постоянная времени зависит от ёмкости объекта: чем больше ёмкость, тем больше постоянная времени.
При выводе уравнения ТОУ для упрощения не было принято во внимание запаздывание. Практически отклонение выходной время запаздывания τ. Это время аналитически определить очень трудно и, и как правило, его определяют экспериментально. Передаточная функция статического объекта 1-го порядка с учётом запаздывания примет вид
.
|
|
|
Наиболее важной характеристикой ТОУ является показатель регулируемости
.
Чем больше значение R объекта, тем благоприятнее условия для регулирования, и наоборот, чем меньше R. Тем труднее обеспечить качество регулирования. Поэтому в объектах с большой ёмкости и с малым запаздыванием легче обеспечить процесс регулирования.
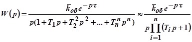
Динамические свойства промышленных объектов в общем виде можно приближённо описать передаточными функциями:
а) для статических объектов
;
б) для астатических объектов
,
где
- параметры объекта; n – показатель степени дифференциального уравнения объекта; П – знак произведения.
По динамическим свойствам ТОУ подразделяются на объекты с сосредоточенными и с распределёнными параметрами.
Объекты с сосредоточенными параметрами – это ТОУ, в которых регулируемые величины в равновесном состоянии имеют одинаковые значения по всему объёму ТОУ, а в переходном режиме в любой точке объекта характер изменения регулируемых величин одинаков. Примером ТОУ с сосредоточенными параметрами с некоторым приближением могут служить небольшие нагревательные печи, в которых регулируемой величиной является температура. При этом имеется в виду, что температура в печи в любой момент времени по всему объёму печи одинакова. При нарушении равновесного состояния за счёт изменения нагрузки (расхода топлива или количество нагреваемого металла) изменение температуры в любой точке печи будет иметь одинаковый характер. Динамические свойства таких объектов описывают одинаковыми дифференциальными объектами с постоянными коэффициентами.
Объекты с распределением параметрами – это ТОУ, в которых значения регулируемых величин в различных точках (сечениях) объекта неодинаковы как в равновесном состоянии, так и в переходном режиме. К таким ТОУ относятся, например, проходные печи для нагрева металла, в которых давление газов и температура в печи в различных сечениях по её длине неодинаковы. В переходном режиме температура и давление в печи изменяются также неодинаково и являются функциями не только времени, но и пространства (длины печи).
Металлургические печи относятся в большинстве случаев к сложным объектам; их состояние характеризуется несколькими параметрами, причём параметры взаимосвязаны и могут меняться во времени. Управляемые ТОУ с переменными параметрами описываются дифференциальными уравнениями, у которых переменными во времени оказываются коэффициенты уравнений. Вследствие этого аналитические методы описания процессов, происходящих в печах как ТОУ, обычно дают приближённое представление о характере протекающих процессов.
Поэтому для определения статических и динамических характеристик промышленных печей, как правило, используют экспериментальные методы.
Каждый производственный процесс характеризуется некоторым числом обобщённых координат, между которыми могут существовать функциональные связи. Естественно, что любая обобщённая координата процесса может заменена другой (при математическом описании процесса), связанной с ней непрерывной взаимнооднозначной функциональной связью. Число независимых обобщённых координат, определяющих состояние процесса, т.е. число его степеней свободы, равно числу его обобщённых координат за вычетом числа уравнений функциональной связи между ними.
Как указывалось раньше, самые важные и распространённые простые процессы обладают только двумя обобщёнными координатами. Однако из них представляет собой поток (расход) энергии или вещества, участвующий в процессе; другая (выходная) – параметр процесса, значения которого однозначно определяют качество протекания процесса или характеризуют качество его результатов.
Эти две координаты связаны одним уравнением, благодаря чему подобные процессы имеют одну степень свободы.
Ниже приведены уравнения, описывающие важнейшие простые идеализированные процессы; нетрудно видеть, что это однотипные дифференциальные уравнения, содержащие кроме двух обобщённых координат процесса ещё третью переменную (аргумент) – время τ.
Поступательное движение описывается уравнением
, где
- масса;
- линейная скорость;
- результирующая действующая сила.
Вращательное движение
, где
- момент инерции;
- угловая скорость;
- результирующий момент.
Заполнение (опорожнение) ёмкости жидкостью
, где
- площадь уровня;
- высота (уровень);
- объёмный приход жидкости.
Изотермическое заполнение (опорожнение) ёмкости сосуда газом
, где
- объём ёмкости;
и
- давление и плотность газа;
и
- газовая постоянная и абсолютная температура газа;
и
- массовый и объёмный приход газа.
Нагревание (охлаждение) тела
, где
- масса тела;
- его удельная теплоёмкость;
- его температура;
- тепловой поток, направленный к телу.
Увлажнение (сушка) тела
, где
- масса абсолютно сухого вещества;
- относительная влажность на абсолютно сухую массу;
- масса влаги, поступающей в единицу времени.
Образование раствора и суспензии (и осаждение из них)
, где
- объём растворителя;
- концентрация растворённого вещества в единицах массы, отнесённая к единице объёма;
- поступление (удаление) сухого вещества (по массе) в единицу времени.
Выпаривание
, где
- масса растворённого абсолютно сухого вещества;
-жидкостный коэффициент (отношение масс растворителя и растворённого вещества);
- массовое парообразование в единицу времени;
- подвод тепла в единицу времени;
- коэффициент пропорциональности.
Иначе говоря, линейные модели перечисленных объектов описываются обобщённым уравнением
, где
- обобщённые параметры.
Обобщённые параметры для приведённых уравнений указаны в табл.2.1
Таблица 2.1
| Значения | Обобщённые параметры | ||
| L | H | X | |
| Поступательное движение Вращательное движение Заполнение жидкостью Заполнение газом Нагревание Увлажнение Растворение Выпаривание | Масса Момент инерции Площадь уровня Объём, делённый на постоянную Теплоёмкость Масса абсолютно сухого вещества Объём растворителя Масса растворённого абсолютно сухого вещества | Линейная скорость Угловая скорость Уровень Давление Температура Относительная влажность на абсолютно сухую массу Концентрация растворённого вещества в единицах массы, отнесённой к единице объём Жидкостный коэффициент | Сила Момент Объёмный приход Массовый приход Тепловой поток, направленный к телу Массовое поступление влаги в единицу времени Массовое поступление сухого вещества в единицу времени Парообразование в единицу времени со знаком «минус» или произведение теплового потока на постоянный отрицательный коэффициент пропорциональности |
Рассмотрим физический смысл обобщённых величин.
Величина H характеризует управляемую величину процесса: при движении – это скорость; при нагревании – температура; при заполнении газом – давление и т.д. Иначе говоря, Н является выходной обобщённой координатой объекта.
Величина х характеризует мгновенное значение результирующего энергетического воздействия или потока вещества. При движении – это результирующая сила или момент; для гидравлической или пневматического ёмкости – итоговый приход жидкости или газа; при тепловых процессах – результативное поступление тепла. Наличие х
0 приводит к изменению Н.
Естественно, что величина х связана как со значениями возмущающего и управляющего воздействий на процесс (например, с изменением степени открытия клапана на линии подачи греющего пара в теплообменник), так и с собственными свойствами процесса (это подробнее рассматривается далее).
Величина
характеризует собственные свойства ТОУ и определяет интенсивность изменения во времени выходной координаты Н при данном значении х 
При движении величина
представляет собой массу или момент инерции; при заполнении жидкостью – площадь уровня и т.д. Величина
в физическом истолковании характеризует инертность процесса (механическую, гидравлическую, тепловую и т.д.) и называется коэффициентом ёмкости объёкта.
Перепишем последнее уравнение в следующем виде:
.
Подынтегральная функция характеризует элементарный поток энергии или вещества, т.е. расход за время
. При движении – это импульс силы
или импульс момента
; для гидравлической ёмкости – это объём поступающей жидкости
; для пневматической ёмкости – масса поступающего газа
и т.д.
Если проинтегрировать выражение
в пределах времени, необходимого для изменения Н на единицу, то получим, что коэффициент ёмкости равен воздействию (количеству вещества или энергии, подводимому за это время к объекту), необходимому для изменения выходной координаты ТОУ на единицу. Очевидно, что чем больше коэффициент ёмкости, тем менее чувствителен ТОУ к приложенному воздействию (т.е. меньше меняется его выходная координата при одном и том же значении воздействия).
Коэффициент
ёмкости может быть постоянным (у линейных стационарных объектов) и переменным (у нелинейных и нестационарных объектов). Например, у гидравлической ёмкости с различной площадью горизонтального сечения коэффициент
- величина переменная (при различных уровнях).
Каждому значению выходной координаты Н отвечает определённый запас энергии (или вещества), аккумулированной в ТОУ:
; при
и
.
Обобщённая величина
называется ёмкостью объекта. При поступательном движении
, т.е. ёмкость равна количеству движения; при вращательном движении
, т.е. моменту количества движения; для гидравлической ёмкости
, т.е объёму жидкости, поданному в объект и аккумулированному в нём; для тепловых процессов
, т.е. теплосодержанию; для изотермического заполнения пневматической ёмкости
( при 
, т.е. массе газа, содержащего в сосуде.
Нетрудно видеть, что отношение
имеет размерность времени и представляет собой время аккумулирования количества
энергии или вещества в объекте при постоянной интенсивности x поступления в объект.
Энергия (или вещества) может быть распределённой по объёму или сосредоточенной в одном или нескольких участках. Если переход энергии или вещества, аккумулированных в этих участках, из одного участка в другой затруднён (существуют значительные сопротивления этому перехода), то объект называется многоёмкостным (по числу таких обособленных ёмкостей). Так, два сосуда с жидкостью, соединённые трубопроводом со значительным сопротивлением образуют одну двухёмкостную гидравлическую систему. Наоборот, при малых сопротивлениях переходу энергии или вещество, образуют одноёмкостный объект. Поэтому металлический аппарат, заполненный жидкостью, при высоком коэффициенте теплопереноса от жидкости к стенке и обратно может рассматриваться как одноёмкостный тепловой объект.
Одно и то же устройство (объект) может изучаться с различных точек зрения, т.е. характеризоваться различными показателями режима. Например, сосуд с жидкостью может характеризоваться высотой уровня жидкости в нём, общей теплоёмкостью общей массой или общим моментом инерции.
При рассмотрении процесса наполнения (опорожнения) ёмкости выходной координатой служит уровень жидкости, следовательно, коэффициентом ёмкости в данном случае является площадь уровня. При анализе процесса нагревания (охлаждения) сосуда выходной координатой будет температура жидкости, следовательно, коэффициентом ёмкости служит теплоёмкость системы. При рассмотрении поступательного движения сосуда выходной координатой является его линейная скорость, следовательно, коэффициентом ёмкости будет масса сосуда с содержимым. Для вращательного движения сосуда выходной координатой служит угловая скорость вращения, а коэффициентом ёмкости – момент инерции. Итак, один и тот ж рассматриваемый сосуд может иметь различные коэффициенты ёмкости в зависимости от характера изучаемого процесса. В приведённых случаях сосуд с жидкостью фигурировал в четырёх различных качествах: гидравлической ёмкости (наполнение – опорожнение); тепловой ёмкости (нагревание – охлаждение); поступательно движущейся массы; вращающейся массы.
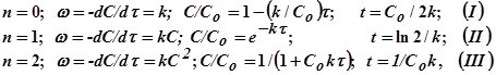
Рассмотрим весьма важный вопрос о методах управления скоростью химических реакций. Из общего уравнения химической кинетики для скорости гомогенной реакции
можно получить простые выражения для изменения во времени концентрации
однокомпонентных продуктов при нулевом, первом и втором порядках
реакции:

где
и
- текущая (мгновенная) и начальная концентрации вещества соответственно;
- постоянная времени реакции (время полураспада);
- время.
Интегрирование при определении
произведено для условия изотермичности реакции. Константа скорости реакции
резко возрастает с повышением температуры:

где
- константы скорости реакции при абсолютных температурой
; Е –энергия активации;
- постоянная Больцмана.
Следовательно, с увеличением энергии активации функциональная связь
- становится всё более ощутимой.
При нулевом порядке реакции [выражение(I)] её скорость не зависит ни от времени, ни от концентрации сырья в реакционной массе; единственным методом управления скоростью подобной реакции является изменение температуры. При первом и втором порядках [выражения (II) и (III)] их скорости зависят от температуры (через
) и концентрации регулировать также и изменением давления.
В ряде случаев скорость химической реакции существенно зависит от скорости образования свободных радикалов; при этом скорость таких реакций регулируется изменением интенсивности и временной характеристики потока лучистой энергии (видимого света, ультрафиолетовых лучей, рентгеновского излучения и других видов радиации), которые и служат управляющими воздействиями.
Наиболее широко применяется управление скоростью реакции путём регулирования температуры в реакторе. При этом используют раздельно либо совместно три способа изменения тепловых потоков (управляющее воздействие).
При первом способе регулируют тепловыделение в реакционной зоне изменением соотношения потоков реагирующих веществ, изменением концентрации катализатора и активатора. При втором способе управляют теплом, подводимым потоками реагирующих веществ, т.е. регулируют их температуры и (или) соотношение при смешивании. При третьем способе управляют теплообменом между реакционной массой и специальной регулирующей средой (нагревающей, охлаждающей) путём применения рубашек, змеевиков и т.п. или используют электро обогрев реакционного пространства. В некоторых случаях можно применить подачу регулирующей среды (воды, пара) непосредственно в реакционное пространство (контактный теплообмен).
Из сказанного, видно, что управление скоростью химических реакций сводится в сущности к управлению рассмотренными тепловыми, гидравлическими или пневматическими процессами.
Экспериментальное определение характеристик объектов автоматического управления разделяют на активное и пассивное.
При активных методах исследуемый ТОУ подвергается искусственным внешним воздействиям, которые приводят к изменениям выходной величины, т.е. исследуются реакции объекта во времени на приложенное возмущение определённой формы.
Рис.2.1.Схема определения динамических характеристик объекта
При пассивных методах используют информацию, полученную в результате нормальной эксплуатации ТОУ без специальных внешних воздействий на него, т.е. объект исследуют статистическим анализом кривых изменения во времени эксплуатационных значений входных изменения во времени эксплуатационных значений входных и выходных величин. Пассивный метод требует сложной и громоздкой обработки экспериментального материала. Использование пассивного метода целесообразно, если по условиям технологии нельзя вводить в объект искусственные возмущения или уровень помех соизмерим с величинами допустимых возмущений.
Рассмотрим активные способы определения характеристик объекта. Опыты по снятию характеристик объекта проводятся по схеме, показанной на рис.2.1. На вход объекта 1 с помощью органа управления 2 вносят искусственные возмущения или в виде однократного ступенчатого скачка, или в виде гармонических колебаний. Значение входной величины измеряют прибором 3, а значения выходной величины, пока она не примет нового установившегося значения, регистрируются прибором 4.
В первом случае имеем переходный процесс изменения во времени выходной величины, называемый временной характеристикой объекта, или кривой разгона.
Во втором случае получим процесс, которому соответствуют установившиеся колебания выходной величины. Эта зависимость называют частотной характеристикой объекта.
Временные характеристики с действующих объектов снимают в тех случаях, когда можно приложить скачкообразное входной воздействие в пределах 15-20% номинального значения режима работы объекта и оставить его действовать в течение времени, достаточно для окончания переходных процессов, т.е. пока выходная величина не примет нового постоянного значения у объекта с самовыравниванием или пока не установится постоянная скорость изменения выходной величины у объектов без самовыравнивания.

Теплоёмкость Масса абсолютно сухого вещества Объём растворителя Масса растворённого абсолютно сухого вещества 





