Привидите основные классификационные признаки ТОУ.
Контрольные вопросы.
Рис.2.11.Гармонический анализ выходного параметра
Рис.2.7.Перестроение импульсной характеристики в кривую разгона
Рис.2.6.Импульсная характеристика объекта
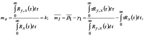
Коэффициент передачи объекта
,
т.е. равен отношению площадей, ограниченных кривыми изменения выходной и входной величин.
Постоянная времени объекта
,
- максимальное значение выходной величины, достигнутое в переходном процессе при импульсном воздействии.
Во многих задачах динамические характеристики ТОУ получают после перестройки импульсной характеристики в кривую разгона. Для этого импульсную характеристику (рис.2.7) разбивают по времени на iравных участков
, каждый из которых равен продолжительности импульса
На участке
ход импульсной кривой совпадает с ходом обычной кривой разгон. На следующем участке
ординаты импульсной кривой представляют собой разность ординат обычной кривой разгона и соответствующих им по времени ординат импульсной кривой на первом участке
. Суммируя соответствующие ординаты первого и второго участков разбиения, получают искомые ординаты кривой разгона для участка
, аналогично для всех последующих участков разбиения, пока не будет определено новое установившееся состояние.
|
|
|

Рис.2.8.Принципиальная схема системы контроля при определении динамических характеристик: 1 – дистанционное управление; 2 – датчик входной величины; 3 – регистратор; 4 – датчик выходной величины
Для проведения экспериментальных работ по определению динамических характеристик собирают схему, показанную на рис.2.8. Величина возмущения, как подтверждают многочисленные опыты, должны составлять 5 – 15% от номинального значения входной величины при определении кривой разгона и 15 – 25% при определении импульсной характеристики.
Так как создать идеальную форму сигнала практически невозможно, то определение динамических параметров ТОУ выполняют с учётом времени внесения возмущения.
Рис.2.9.Определение динамических параметров с учётом времени внесения возмущения
При времени нарастания возмущения
соизмерим с запаздыванием для управления первого порядка заменяют истинное возмущение типовым скачкообразным, для чего момент внесения скачкообразного возмущения условно выбирают так, чтобы площади
были равны.
Гармонические возмущения входной величины осуществляют генератором периодических колебаний. В общем случае можно считать, что для того, чтобы получить частотные характеристики тепловых объектов, достаточно определить 4 – 5 точек годографа, т.е. провести опыты при 4 – 5 частотах колебаний в интервале частот от 0,5 до 2,5
. Частоты колебаний
представляет собой характерные частоты, при которых сдвиг фаз составляет 180о. Для того чтобы определить характерную частоту, на входе объекта вносят скачкообразное возмущение величиной 5-15% от максимального возможного. Это значение входной величины поддерживают постоянным до тех пор, пока не будет отмечено отклонение выходной величины от начального установившегося значения. В момент отклонения вновь изменяют значение входной величины, причём в противоположном направлении и на величину, вдвое превышающую первое возмущение. Затем такие же изменения входной величины повторяют каждый раз в тот момент, когда изменяющаяся во времени выходная величина переходит через линию начального установившегося значения. По достижении установившегося колебательного процесса с 2-3 периодами колебаний опыт прекращают. Искомая характерная частота ТОУ определяется отношением 
|
|
|
Реакция гармонических воздействий при определении частотных характеристик экспериментальным путём не вызывает трудностей, если объект имеет электрический входной сигнал, так как существует электронные генераторы периодических колебаний, воспроизводящие такие сигналы с высокой точностью.
В том случае, а также когда нет электронного генератора гармонических колебаний на вход объекта подают периодическое возмущение, изменяющееся по прямоугольному закону или по закону треугольника (рис.2.10, а и в). Проще реализуется трапецеидальный сигнал (рис.2.10, б).
При осуществлении периодических сигналов рассмотренных выше типов на вход объекта воздействует
Рис.2.10.Периодические возмущения: а – прямоугольное; б – трапецевидное; в –треугольное
сумма гармоник, представляющих со-
бой разложение этих сигналов в ряд Фурье. Входные сигналы в зависимости от формы заменяются суммой гармоник следующего вида:
прямоугольный 
треугольный 
трапецеидальный
,
где
- величина прямоугольного сигнала или максимальная величина треугольного и трапецеидального сигнала;
- период входного сигнала;
- проекция наклонного участка трапецеидального сигнала на ось абсцисс (рис.2.10).
Погрешности определения амплитуды, если принять рассмотренные периодические процессы изменения выходной координаты за синусоидальные, существенны только при низких частотах, но и в этом случае максимальное значение погрешности при
не превысит 11% при треугольной и 4% при трапецеидальной форме. Однако уже при
эти погрешности снижают соответственно до 6 и 1,5%. На основании сказанного можно сделать вывод, что при больших значениях произведения
не требуется проводить гармонического анализа периодической функции изменения выходной величины исследуемого объекта; при малых значениях произведения
из входного и выходного сигналов выделяются первые гармоники и соответственно их параметрам находятся частотные характеристики исследуемого объекта.
Практически амплитуды первых гармоник определяют следующими выражениями:
при прямоугольном сигнале

при треугольном

при трапецеидальном

Для определения амплитуд и сдвигов фаз гармонических составляющих колебаний величины (рис.2.11) на графике изменений во времени выходной величины объекта выбирают участок продолжительностью
при частоте колебаний ω рад/с. Период времени
разбивают на шесть равных участков и измеряют шесть соответствующих ординат: 
Затем вычисляют значения коэффициентов:

Амплитуда первой гармоники колебаний выходной величины равна:

Сдвиг фаз
между первыми гармониками колебаний входной и выходной величин равен:
, где сдвиг фаз между первой гармоникой и анализируемой кривой
, а сдвиг фаз между рассмотренным участком
колебаний выходной величины и колебаниями на входе объекта
определяется непосредственно по графику.
|
|
|
Определение динамических характеристик ТОУ по данным его нормальной эксплуатации. Для этой цели в настоящее время широко используются методы математической статистики и статистической динамики, которые позволяют найти соотношения между операторами, характеризующими связь между входными и выходными и входными координатами объекта и некоторыми статистическими характеристиками исследуемых случайных процессов.
Рассмотрим одномерный объект, на вход которого поступает случайная функция
, которой на выходе соответствует случайная функция
. Уравнение связи между выходной и входной функциями имеет вид

где
- импульсная переходная (весовая) функция;
- вклад сигнала, полученного в момент времени
, в образование выходной координаты
.
ТОУ, идентифицированный последним уравнением, должен удовлетворять следующим условиям:
1. Реакция объекта на входной импульс не зависит от момента приложения этого импульса, а зависит только от времени, прошедшего после его подачи, т.е. объект должен быть стационарным, а уровень внутренних шумов пренебрежимо мал по сравнению с влиянием входных воздействий.
2. Если на вход подаётся несколько импульсов в различные моменты времени, то каждый из них вносит свой вклад пропорционален амплитуде импульса и времени, прошедшему от момента его приложения (т.е. должен быть справедлив принцип суперпозиции реакции объекта на ряд на ряд входных сигналов). Это условие определяет класс линейных объектов.
Только в том случае, если исследуемый объект удовлетворяет приведённым выше условиям, последнее уравнение может быть принято в качество его математической модели.
В реальных производственных условиях часто оказывается невозможным подавать на вход объекта пробные сигналы. В этих случаях удобно использовать методы определения импульсной переходной функции по статистических характеристикам входной и выходной случайных функций при условии стационарности этих функций.
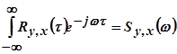
Взаимокорреляционная двух случайных стационарных процессов по определению равна
|
|
|

Если подставить в последнее уравнение значение
, полученное предыдущим уравнением, то

Изменим порядок интегрирования:

Выражение
представляет собой автокорреляционную функцию входного сигнала, так как вследствие стационарности входной функции это значение не зависит от момента начала отсчёта времени, поэтому

Эта зависимость представляет основные уравнение идентификации объекта с помощью его статистических характеристик. Из допущений, сделанных при выводе этого уравнения, следует, что оно справедливо для линейных стационарных объектов, при эргодическом характере входного сигнала, что, строго говоря, на практике может встретиться достаточно редко.
Основное уравнение идентификации было предложено Винером и Хопфом, и поэтому в литературе его часто называют уравнение Винера – Хопфа.
Решение основного уравнения идентификации в частотной области.
Рассмотрим устойчивый линейный объект, удовлетворяющий условиям, указанным выше. Для решения уравнения Винера – Хопфа осуществим преобразование Фурье для правой и левой частей этого уравнения, умножив обе его части на
и проинтегрировав их в в пределах от
до
:
.
Введём новую переменную

После замены переменных получим

Выражение

представляет спектральную плотность взаимокорреляционной функции
, а выражение

спектральную плотность случайной функции 
Учитывая, что выражение
представляет собой уравнение амплитудно-фазовой характеристики объекта, можно написать 
Зная амплитудно-фазовую характеристику ТОУ, можно с помощью обратного преобразования Фурье перейти к импульсной переходной (весовой) функции:

В реальных условиях корреляционные функции находят приближённо в некоторых точках. Если точность определения корреляционных функций м густота точек, в которых они определяются, достаточны, то можно преобразования
и
осуществлять численным методом, заменяя интегралы суммами. Если же это невозможно, то следует аппроксимировать взаимокорреляционную и корреляционную функции аналитическими зависимостями и производят преобразования этих формулами над аналитическими выражениями, аппроксимирующими эти функции.
Если в уравнении
заменить чисто мнимый параметр
на комплексный
, то можно определить передаточную функцию объекта:
.
Следовательно, определив частотную характеристику объекта, можно получить значения передаточной функции, импульсную переходную функцию и уравнение объекта.
Следует отметить, что интегральное уравнение Винера – Хопфа относится к классу так называемых «некорректных» задач в том смысле, что малым погрешностям в исходных данных могут соответствовать большие погрешности в решении уравнения. Практически исходные данные всегда задаются с некоторой погрешностью. Поэтому очень важно при решении этого уравнения использовать специальные математические методы, в известной мере компенсирующие некорректные задачи. В тех случаях, когда погрешности исходных данных обусловлены случайными флуктуациями измеряемых величин, сущность таких методов обычно состоит в сглаживании входной информации. Причинами расхождения между решениями уравнений Винера – Хопфа и истинными импульсными переходными функциями объектов могут быть также несоответствия условий, принятых при выводе уравнения, и реальных условий, такие как некоторая коррелированность помех и возмущений в объекте; отсутствие полной стационарности возмущений и непостоянство свойств объекта, например, из-за старения агрегата; некоторая нелинейность статических и динамических свойств объекта; наличие обратных связей в объекте в процессе регистраций входных и выходных сигналов, например, из-за наличия управляющих воздействий оператора.
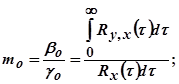
Идентификация объектов методом моментов импульсной переходной функции. Для определения передаточных функций устойчивых, стационарных объектов может быть использован метод моментов, который заключается в том, что предполагается известный вид уравнения передаточной функции при неизвестных его коэффициентах. Задача идентификации ТОУ сводится к определению значений этих коэффициентов, причём эффективным оказывается решение, идея которого заключается в том, что находят необходимое число производных передаточной функции
, в которых
принимают равным нулю и по ним составляют уравнения для определения коэффициентов уравнения передаточной функции. Основным понятием в данном методе является понятие о моменте функции, которое вводится по аналогии с моментами случайных величин.
Моментом
-ного порядка импульсной переходной функции называют по аналогии с моментами случайной величины выражение
.
Момент нулевого порядка соответственно равен
, первого порядка
, второго порядка
и т.д. Нормированным моментом
-ного порядка называют отношение
и центральным нормированным моментом
-ного порядка соотношение
.
Центральный нормированный момент первого порядка равен нулю:
, а также
и т.д.
По аналогии вводятся понятия о моментах корреляционной и взаимокорреляционной функций:
моменты корреляционной функции
;
нормированные моменты
;
моменты взаимокорреляционной функции 
нормированные моменты 
нормированные моменты
,
Из уравнения Винера – Хопфа могут быть получены следующие соотношения между моментами импульсной переходной функции и моментами корреляционных функций: 
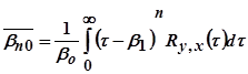
.
Выше было показано, что
;
-тая производная 
Из приведённых соотношений следует, что
.
Зная структуру дифференциального уравнения объекта и приведённые выше соотношения, можно найти связь между передаточной функцией и статистическими характеристиками объекта и определить коэффициенты передаточной функции.
Пусть, например, задались передаточной функцией одномерного объекта в виде 
Определим производную 
При 

поэтому
.
Если структура уравнения объекта представлена передаточными функциями более высокого порядка, то составляется система уравнений, решение которой позволяет, то составляется система уравнений, решение которой позволяет найти все коэффициенты передаточной функции. Таким образом, пользуясь методом моментов, зная корреляционные и взаимокорреляционные функции входа и выхода объекта, можно определить коэффициенты передаточной функции.
Может оказаться, что вид уравнения передаточной функции, которым задались для данного объекта, недостаточно точно отражает его динамические свойства. При этом реакция объекта и его математической модели на одинаковые входные воздействия могут не удовлетворять выбранному критерию их близости, например минимуму среднеквадратичного отклонения. Тогда необходимо отклонения. Тогда необходимо задаться более сложным видом уравнения передаточной функции, задаться более сложным видом уравнения передаточной функции, например, повысить его порядок и вновь осуществить расчёты всех коэффициентов. Операции повторяет до тех пор, пока не удовлетворён критерий близости выходных функций объекта и модели при одном и том же входном воздействии.
В качестве примера определения модели технологического объекта управления можно привести дуговую сталеплавильную печь.
Динамические характеристики ДСП для инженерных расчётов могут быть представлены в линейном приближении передаточными функциями разомкнутой системы. В объект в данном случае включаются исполнительный механизм перемещения электрода и электрический контур ДСП. Трёхмерная задача идентификации ДСП как объекта регулирования пока не имеет точного решения, поэтому рассматривается одна фаза ДСП, усреднённая по трёх фазам.
В связи с тем, что динамика систем регулирования мощности ДСП определяется главным образом свойствами исполнительного механизма, целесообразно использовать две передаточные функции:
для реечного механизма
;
для гидравлического механизма
,
где
- коэффициент усиления исполнительного механизма перемещения электрода, с-1;
- постоянная времени электромагнитного контура печи, с;
- эквивалентная постоянная времени механизма перемещения электрода, с;
- собственные частоты недемпфированных колебаний исполнительных механизмов, с-1;
- постоянные затухания;
- демпфирующая сила,
- обобщённая жёсткость несущей части механизма;
,
- относительные коэффициенты затухания колебаний.
Все параметры получают расчётным или экспериментальным путём.
Для отыскания передаточной функции разомкнутой системы регулирования необходимо определить передаточные функции объекта, обратных связей и перемножить передаточные функции всех звеньев:
.
.