Теорема. Если задана точка М(х0, у0), то расстояние до прямой Ах + Ву + С =0 определяется как
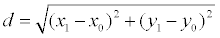
.
Доказательство. Пусть точка М 1(х 1, у 1) – основание перпендикуляра, опущенного из точки М на заданную прямую. Тогда расстояние между точками М и М1:
(1)
Координаты x1 и у1 могут быть найдены как решение системы уравнений:

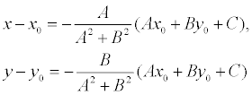
Второе уравнение системы – это уравнение прямой, проходящей через заданную точку М 0 перпендикулярно заданной прямой. Если преобразовать первое уравнение системы к виду:
A(x – x 0) + B(y – y0) + Ax0 + By0 + C = 0,
то, решая, получим:

Подставляя эти выражения в уравнение (1), находим:

Теорема доказана.
Пример. Определить угол между прямыми: y = -3 x + 7; y = 2 x + 1.
k 1 = -3; k 2 = 2; tgφ =
; φ= p /4.
Пример. Показать, что прямые 3х – 5у + 7 = 0 и 10х + 6у – 3 = 0 перпендикулярны.
Решение. Находим: k 1 = 3/5, k2 = -5/3, k 1* k 2 = -1, следовательно, прямые перпендикулярны.
Пример. Даны вершины треугольника А(0; 1), B (6; 5), C (12; -1). Найти уравнение высоты, проведенной из вершины С.
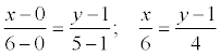
Решение. Находим уравнение стороны АВ:
; 4 x = 6 y – 6;
|
|
|
2 x – 3 y + 3 = 0; 
Искомое уравнение высоты имеет вид: Ax + By + C = 0 или y = kx + b. k =
. Тогда y =
. Т.к. высота проходит через точку С, то ее координаты удовлетворяют данному уравнению:
откуда b = 17. Итого:
Ответ: 3 x + 2 y – 34 = 0.






