Уравнение прямой, проходящей через данную точку
Угол между прямыми на плоскости
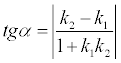
Определение. Если заданы две прямые y = k1 x + b1, y = k 2x + b2, то острый угол между этими прямыми будет определяться как
.
Две прямые параллельны, если k1 = k2. Две прямые перпендикулярны, если k1= -1/ k2.
Теорема. Прямые Ах + Ву + С = 0 и А 1 х + В1 у + С1 = 0 параллельны, когда пропорциональны коэффициенты А1 = λА, В1 = λВ. Если еще и С1 = λС, то прямые совпадают. Координаты точки пересечения двух прямых находятся как решение системы уравнений этих прямых.
Определение. Прямая, проходящая через точку М1 (х1, у1) и перпендикулярная к прямой у = kx + b представляется уравнением:







