Влияние характеристик объекта и настроек регулятора
Стартовые условия:
ü Рассматривается система стабилизации (YЗД = соnst).
ü На вход подается ступенчатое воздействие (F = DYЗД).
1. АСР с астатическим объектом и П-регулятором.
Система регулирования уровня в емкости
Передаточные функции:
ü Объекта (исполнительный механизм, регулирующий орган, бак)
;
ü Регулятора
.
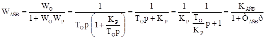
Передаточная функция замкнутой системы:
.
Характеристическое уравнение:
, где
. Здесь только один вещественный отрицательный корень и следовательно система устойчива.
Постоянная времени объекта = 25 с. Увеличивая коэффициент усиления регулятора можно (20>10>2) снижать статическую ошибку, однако при этом переходный процесс АСР приближается к работе позиционного регулятора и в пределе при больших значениях ТО можно выйти на колебательный процесс.
Переходный процесс при ступенчатом возмущении по каналу задания.

Система устойчива, но регулирование идет со статической ошибкой. Величина ошибки зависит от КР и тем меньше, чем больше КР. Поэтому КР выбирают согласно условию КР < KPKP, где значение KPKP дает появление колебательного процесса.
|
|
|
2.
АСР с астатическим объектом и ПИ-регулятором.
Передаточные функции:
ü Объекта (исполнительный механизм, регулирующий орган, бак)
;
ü Регулятора
.
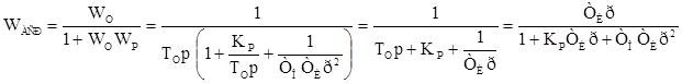
Передаточная функция замкнутой системы:
.
Характеристическое уравнение:
, где
. Дискриминант:
. Вещественная часть корня:
. Она зависит только от КР.
Переходный процесс при ступенчатом возмущении по каналу возмущения
:
ü при D>0, т.е. р1¹р2 и корни вещественные (апериодический процесс без статической ошибки);
ü при D=0, т.е. р1=р2 и корни вещественные (апериодический процесс на границе устойчивости);
ü при D<0, т.е. р1¹р2 и корни комплексные (апериодический или колебательный процесс).
K1(D>0) > K2 (D=0) > K3 (D <0).
Диаграммы влияния настроек регулятора на качество переходного процесса:

.
Система работоспособна. Регулирование без статической ошибки. Параметры переходного процесса зависят от настроек регулятора.






