По химической структуре нуклеиновые кислоты состоят из цепочек нуклеотидов – чередующихся остатков пентозы – рибозы или дезоксирибозы, и фосфорной кислоты (фосфата) с азотистыми основаниями, присоединенными к углеводным фрагментам N-гликозидной связью:

… - фосфат – пентоза – фосфат – пентоза …
основание основание


Нуклеотид Нуклеотид
Соседние нуклеотиды связаны друг с другом посредством сложноэфирной связи между пентозой одного и фосфатной группой другого нуклеотида. Азотистые основания не участвуют в образовании никаких других ковалентных связей, кроме тех, которые связывают их с остатками моносахаридов сахарфосфатной цепи.
Соединение азотистого основания и пентозы (без остатка фосфорной кислоты) называют нуклеозидом, а нуклеиновые кислоты – соответственно полимерами нуклеозидмонофосфатов.
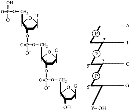
Мононуклеотиды связываются в полимеры – природные нуклеиновые кислоты – путем образования сложноэфирных связей между 3'-углеродным атомом пентозы одного мононуклеотида и 5'-углеродным атомом пентозы другого нуклеотида (рис. 1).
|
|
|
Различные нуклеиновые кислоты отличаются друг от друга числом мононуклеотидных остатков в молекуле (точнее, азотистых оснований, так как пептозофосфатные части у всех мономеров одинаковы).

Рис. 1. Схема фрагмента полимерной цепи нуклеиновой кислоты
Главные мононуклеотиды, входящие в состав ДНК и РНК, отличаются набором азотистых оснований (см. рис. 2).

Рис. 2. Структурные компоненты нуклеиновых кислот: азотистые
основания – пурины, пиримидины и сахара
Таким образом, в структуре РНК не встречается тимидин (Т), а в структуре ДНК – уридин (У).
Из четырех разных нуклеотидов может быть построено огромное количество вариантов нуклеиновых кислот.
Пуриновые основания образуют ряд продуктов. Среди них мочевая кислота (конечный продукт пуринового обмена у человека) и кофеин. Кофеин – метилированное производное пурина – содержится в кофе (до 1,5%) и в чайных листьях (до 5%). Пуриновые и пиримидиновые основания стимулируют рост растений и микроорганизмов.