Витамин В1 (тиамин, аневрин). В структуре молекулы витамина В1 содержится бициклическая система, состоящая из пиримидинового и тиазольного, содержащего азот и серу, колец. В тканях животных витамин В1 присутствует главным образом в виде кофермента — тиаминпирофосфата (рис. 20).
Водные растворы тиамина в кислой среде выдерживают нагревание до высоких температур без снижения биологической активности. В нейтральной и щелочной средах витамин В1 быстро разрушается при нагревании. Этим объясняется частичное или полное разрушение тиамина при кулинарной обработке пищи, в частности при выпечке теста с добавлением соды или карбоната аммония. Витамин В1 чувствителен к свету и кислороду воздуха, распадается под действием ультрафиолетовых лучей.

Рис. 20. Витамин В1: тиамин и тиаминпирофосфат (кофермент)
При отсутствии в рационе питания тиамина развивается тяжелое заболевание бери-бери, широко распространенное в ряде стран Азии и Индокитая, где население питается в основном полированным рисом. Для этой болезни характерны быстрая потеря веса, плохое самочувствие, отсутствие аппетита, пониженная умственная и физическая работоспособность, нервозность и различные неврологические расстройства (полиневриты).
|
|
|
Распространение в природе и суточная потребность. В связи с тем что витамин В1 выполняет важную функцию в обмене углеводов, он присутствует практически во всех живых организмах. Основное количество его человек получает с растительной пищей. Много витамина В1 содержится в дрожжах, в пшеничном хлебе из муки грубого помола, в оболочке и зародыше семян зерновых культур, сое, горохе, фасоли, гораздо меньше — в картофеле, капусте, моркови.
Из продуктов животного происхождения наиболее богаты витамином В1 печень, почки, мозги, желтки яиц и молоко. Ценным природным источником витамина В1 являются пивные дрожжи. Потребление тиамина для разных групп населения составляет от 1,3 до 1,9 мг/сут.
Физиологическая функция. Витамин В1 в форме тиаминпирофосфата является коферментом — простетической группой фермента пируватдекарбоксилазы, который катализирует декарбоксилирование пировиноградной кислоты СН3—СОСООН. Пировиноградная кислота, образующаяся на первом этапе процесса дыхания — при гликолизе, является ключевым веществом диссимиляции углеводов.
Витамин В1 также входит в состав ферментного комплекса, катализирующего окислительное декарбоксилирование кетокислот в реакциях цикла Кребса, например a-кетоглютаровой.
Витамин В2. Рибофлавин, является компонентом флавиновых нуклеотидов. В молекулу рибофлавина входит гетероциклическое соединение изоаллоксазин, к которому присоединен пятиатомный спирт рибит.
|
|
|
Рибофлавин хорошо растворим в воде, устойчив в кислых растворах, но легко разрушается в нейтральных и щелочных растворах, устойчив к кислороду воздуха и высокой температуре (не выше 120 °С).
При недостатке рибофлавина наблюдается ухудшение аппетита, снижение веса, выпадение волос. Специфичными для В2-авитаминоза являются воспалительные процессы слизистых оболочек — языка, губ, особенно в уголках рта, ухудшение зрения. У людей при недостатке витамина В2 часто развивается мышечная слабость, слабость сердечной мышцы, быстрая утомляемость, возникают бессонница и неврастенические симптомы.
Распространение в природе и суточная потребность. Рибофлавин широко распространен в природе. Он содержится почти во всех животных тканях и растениях. Высокое содержание его в хлебопекарных и пивных дрожжах. Для обеспечения суточной потребности в витамине В2 важное значение имеют такие продукты питания, как печень, почки, сердце, мясо, рыба, молоко, сыр, яйца, свежие овощи, семена злаков, хлеб из муки грубого помола.
Потребность человека в рибофлавине составляет 2...4 мг/сут.
Физиологическая функция. Рибофлавин принимает непосредственное участие в обмене веществ, входя в состав молекул окислительно-восстановительных ферментов – флавопротеинов. В качестве кофермента рибофлавин содержится в простетической группе флавинмононуклеотида (FMN) и флавинадениндинуклеотида (FAD).
Витамин В6. Группа витамина В6 включает три активные формы: пиридоксин, пиридоксаль и пиридоксамин. Все они обладают функциями витамина В6.
Водные растворы витамина В6 устойчивы по отношению к кислотам и щелочам, к теплу и свету, хотя препараты витамина В6 чувствительны к свету, особенно к действию ультрафиолетовых лучей.
Отсутствие или недостаток витамина В6 приводит к возникновению кожных заболеваний (дерматитов) у грудных детей. Недостаточность витамина В6 наблюдается у больных туберкулезом.
Распространение в природе и суточная потребность. Витамин В6 широко распространен в продуктах растительного происхождения. Важными источниками витамина В6 в питании человека служат мясо, печень, почки, мозги, печень и икра трески, желток яиц, молоко, дрожжи, хлебные злаки, горох, фасоль, картофель.
Для восполнения потребности взрослый человек должен в сутки получать около 2 мг витамина В6.
Физиологическая функция. Пиридоксин принимает участие в процессах азотного обмена. Поэтому при недостатке витамина В6 в пище наблюдается нарушение белкового обмена в животных организмах. Витамин В6 в виде своего фосфорного эфира — пиридоксальфосфата (рис. 21) входит в состав ферментов, катализирующих реакции декарбоксилирования аминокислот, а также ферментативного переаминирования кислот аминотрансферазой. Таким образом пиридоксальфосфат является простетической группой ферментов аминотрансфераз (трансаминаз), катализирующих реакцию переаминирования.

Рис. 21. Коферментные формы витамина В6: пиридоксальфосфат и пиридоксаминфосфат
Витамин В12 (цианкобаламин). Витамин В12 в структуре молекулы содержит трехвалентный атом кобальта Со. Он является единственным витамином, в состав которого входит металл. Витамин В12 имеет характерную для соединений кобальта розовую окраску. Недостаток витамина В12 у человека и животных приводит к развитию злокачественной анемии, так как этот витамин принимает участие в образовании красных кровяных телец крови. Кроме того, при В12-авитаминозе возникают расстройства нервной системы.
Витамин В12 нестоек к кислотам, щелочам, свету и температуре выше 210 °С.
Распространение в природе и суточная потребность. Витамин В12 — единственный витамин, синтез которого осуществляется только микроорганизмами. Поэтому он найден лишь в продуктах животного происхождения, так как синтезируется микроорганизмами в пищеварительном тракте животных, и продуктах обмена микроорганизмов. В питании человека важным источником витамина В12 являются печень (100 мкг на 100 г печени), почки, желтки яиц, рыба и молоко.
|
|
|
Потребность взрослого человека в витамине В12 составляет 2,5...5 мкг/сут.
Физиологическая функция. Витамин В12 входит в состав ряда ферментативных систем в качестве кофермента (простетической группы).
Метилкобаламин принимает участие в качестве переносчика метильной группы при синтезе метионина, нуклеотидов и нуклеиновых кислот. При недостатке метилкобаламина нарушается синтез нуклеиновых кислот.
Другая группа реакций, в которых участвуют В12-кофермент—дезоксиаденозилкобаламин, заключается в переносе водорода и образовании новой углеродной связи. К другим реакциям с участием витамина В12, например, относится реакция ферментативного восстановления рибонуклеотидов до дезоксирибонуклеотидов и некоторые другие.
Витамин РР (никотиновая кислота, никотинамид, ниацин). Витамин РР получил название антипеллагрического витамина, так как в его отсутствие развивается болезнь пеллагра (шершавая кожа), при этом поражаются кожные покровы (дерматиты), нарушается нервная деятельность. Пеллагра распространена во многих районах мира, где люди питаются кукурузой и мало едят мяса, яиц, молока.
Никотиновая кислота и никотинамид и в кристаллическом виде, и в водных растворах устойчивы к действию кислорода воздуха, света, повышенных температур, они устойчивы в кислой, но неустойчивы в щелочной среде. В сильнокислотных и щелочных растворах при нагревании никотинамид гидролизуется с образованием никотиновой кислоты. Оба эти вещества обладают одинаковой витаминной активностью. Никотиновая кислота в организме переходит в форму амида.
Распространение в природе и суточная потребность. Никотиновая кислота также относится к витаминам, широко распространенным в растительных и животных организмах. В основном она содержится в мясе, печени, почках, рисе, хлебе, картофеле и других продуктах. Потребность взрослого человека в витамине РР составляет 15...25 мг/сут.
|
|
|
Физиологическая функция. Физиологическая роль витамина РР связана с его участием в форме коферментов никотинамидадениндинуклеотида (NAD+) и никотинамидадениндинуклеотидфосфата (NADP+) в окислительно-восстановительных реакциях, катализируемых анаэробными дегидрогеназами.
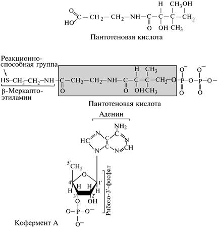
Пантотеновая кислота (витамин В3). Пантотеновая кислота в химическом отношении является соединением b-аланина и a-, g-дигидрокси-b, b-диметилмасляной кислоты (рис. 22).

Рис. 22. Пантотеновая кислота и кофермент А
Пантотеновая кислота представляет собой вязкую светло-желтую маслянистую жидкость, хорошо растворимую в воде. Она малоустойчива при нагревании и легко гидролизуется по месту пептидной связи под действием слабых кислот и щелочей. Поэтому она известна главным образом в виде солей кальция и натрия.
При недостатке или отсутствии пантотеновой кислоты у человека и животных развиваются дерматиты, поражения слизистых оболочек, происходят изменения желез внутренней секреции, нервной системы, сердца, почек, прекращается рост, снижается аппетит, истощается организм.
Распространение в природе и суточная потребность.Основным пищевым источником пантотеновой кислоты для человека являются печень, почки, мышцы, мозги, яичный желток, а также дрожжи, злаки и другие растения, в первую очередь бобовые. Пантотеновая кислота синтезируется микрофлорой кишечника.
Потребность взрослого человека в пантотеновой кислоте составляет 10 мг/сут.
Физиологическая функция.Пантотеновая кислота входит в состав кофермента А (СоА), в состав которого она входит (см. рис. 8). Кофермент А активирует слабореакционноспособные карбоновые кислоты.
Биотин (витамин В7, витамин Н, биос II). Биотин в химической структуре имеет имидазольное кольцо, содержащее серу.
Это слабая одноосновная кислота, стабильная в кристаллическом состоянии при температуре до 100 °С, в растворе устойчивая к нагреванию и действию разбавленных кислот, щелочей, а также к кислороду воздуха.
При недостатке биотина у животных и человека наблюдается депигментация кожи, развиваются дерматиты.
Распространение в природе и пищевых продуктах.Биотин содержится почти во всех животных и растительных продуктах в виде комплексного соединения с белком. Комплекс гидролизуется под действием кислот и ферментов, в частности папаина.
Потребность взрослого человека в биотине от 0,15 до 0,3 мг/сут.
Физиологические функции.Биотин является коферментом ряда ферментов—карбоксилаз. Так, он входит в состав фермента пируваткарбоксилазы.
Фолиевая кислота (витамин В9, витамин Вс, витамин М, фолацин, птероил-глутамат). В химической структуре фолиевой или птероилглутаминовой кислоты бициклическая птеридиновая система состоит из сконденсированных ядер пиримидина и пиразина:

Фолиевая кислота легко разрушается при нагревании, а также под действием света.
При недостатке фолиевой кислоты в организме человека и животных наблюдается нарушение образования форменных элементов крови, возникает злокачественная «тропическая» анемия, снижается сопротивляемость организма заболеваниям.
Распространение в природе и пищевых продуктах. Фолиевая кислота широко распространена в пищевых продуктах растительного и животного происхождения, присутствуя в них в связанном состоянии в структуре полипептидов и высвобождаясь под действием ферментов.
Потребность взрослого человека в фолиевой кислоте от 0,1 до 0,5 мг в сутки.
Физиологические функции.Фолиевая кислота приобретает свойства кофермента и входит в молекулу ферментов, катализирующих перенос одноуглеродных групп: в реакциях введения одноуглеродного фрагмента в скелет пурина при его биосинтезе, в реакциях синтеза тимина при биосинтезе нуклеиновых кислот, а также в реакциях биосинтеза и катаболизма (биораспада) аминокислот.
Витамин С (аскорбиновая кислота). По химической структуре аскорбиновая кислота представляет собой лактон, по структуре близкий к L -глюкозе. Аскорбиновая кислота — довольно сильная кислота. Кислый характер ее обусловлен наличием двух обратимо диссоциирующих гидроксилов у 2-го и 3-го углеродного атомов (рис.23).

Рис. 23. Витамин С: L-аскорбиновая и L-дегидроаскорбиновая кислоты
Дегидроаскорбиновая кислота также обладает С-витаминной активностью.
При приготовлении пищи возникают трудности с витамином С, так как он очень чувствителен к свету, кислороду воздуха и теплу.
Аскорбиновая кислота является необходимым витамином для человека, обезьян и морских свинок.
При отсутствии витамина С у человека начинается цинга, отмечаются потеря веса, общая слабость, одышка, боли в сердце, сердцебиение.
Значение витамина С для здоровья и нормального самочувствия настолько велико, что даже недостаток его вызывает значительные нарушения в организме: плохое самочувствие, снижение умственной и физической работоспособности, быстрая утомляемость, повышенная чувствительность к простуде и инфекциям, нарушение функций желудочно-кишечного тракта.
Распространение в природе и суточная потребность.Витамин С широко распространен в природе. Для удовлетворения потребности в аскорбиновой кислоте важное значение в питании человека имеют продукты растительного происхождения. Много витамина С в болгарском перце, салате, капусте, хрене, укропе, плодах черной смородины, ягодах рябины, в незрелых грецких орехах, облепихе, особенно много в цитрусовых. Картофель также относится к основным повседневным источникам витамина С. Из непищевых источников витамином С богаты хвоя, листья черной смородины, грецкого ореха и шиповник. Из тканей и органов животных значительное количество аскорбиновой кислоты содержат печень, надпочечники и гипофиз.
Суточная потребность человека в витамине С на порядок выше суточной потребности в других витаминах и составляет 100…120 мг.
Физиологическая функция.Наиболее важное химическое свойство аскорбиновой кислоты — это способность обратимо окисляться в дегидроаскорбиновую кислоту под действием аскорбатоксидазы, образуя окислительно-восстановительную систему, связанную с переносом протонов и электронов.
Для предотвращения окисления аскорбиновой кислоты при кулинарной обработке проводят бланширование, т. е. кратковременную тепловую обработку плодов и овощей паром. При этом происходит инактивация аскорбатоксидазы и аскорбиновая кислота не окисляется в дегидроаскорбиновую. Другим условием стабилизации аскорбиновой кислоты является приготовление пищи (компоты, маринады) в кислой среде. В этих условиях реакция сдвинута влево, в сторону образования аскорбиновой кислоты.
Витамин С в качестве кофактора ферментов гидроксилаз участвует в синтезе белка коллагена на стадии превращения остатков аминокислот пролина и лизина в полипептидных цепях в остатки гидроксипролина и гидроксилизина.
При авитаминозе витамина С стабильные и прочные коллагеновые фибриллы не образуются, кровеносные сосуды становятся ломкими, соединительные ткани также не образуются, раны не заживают. Именно ослабление соединительных тканей и ведет при цинге к расшатыванию и выпадению зубов.






