Транзисторы.
ЛЕКЦИЯ 9
Транзистор − это п/п прибор, имеющий 2 электронно-дырочных перехода, образованных слоями N-P или P-N-типа. Имеет 3 или более выводов. Изготавливают на базе германия или кремния. Термин «биполярный» обусловлен наличием 2-х типов носителей зарядов: электронов и дырок.
В зависимости от чередования областей различают транзисторы N-P-N и P-N-P-типа.



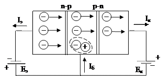
Структура биполярного транзистора
Центральный слой − называется базой (Б).
Наружный слой, являющийся источником зарядов − эмиттер (Э), принимающий заряды − коллектор (К). Источник питания Э-Б U вх включают в прямом направлении (переход Э-Б имеет малое сопротивление). На переход коллектор-база источник энергии U вх включают в обратном направлении.
Под действием Е э электроны из эмиттера преодолевают N-P-переход и попадают в область базы, где частично рекомбинируют с дырками (рекомбинация − восстановление и воссоединение электрона и дырки), образуя ток базы I б Обычно концентрация дырок в базе низкая и не все электроны рекомбинируют, большинство электронов вследствие диффузии и поля Е к преодолевают коллекторный P-N-переход, и в цепи Б-К образуется ток коллектора - I к0
|
|
|
Когда I ЭБ = 0, будет небольшой ток через коллекторный переход I ко. Он обусловлен движением неосновных носителей заряда: электронов из базы в коллектор, дырок из коллектора в базу. Коллектор предназначен для экстракции (изъятия) неосновных носителей заряда из базы.
a = Δ I к/ Δ I э при U кб = сonst
где a – коэффициент передачи тока.
a = 0,9 − 0,995(I б − мал, I к ≈ I э, область n − тонкая, дырок мало и − Iб − мало)./
Транзисторы p-n-р-типа, работают аналогично, отличаются противоположными направлениями E э, E к, I б, I э, I к.

Схема транзистора с ОБ
Рассмотренная схема - схема с ОБ. Применяется редко, так как мал a и мало дифференциальное входное сопротивление R вх:
R вх = Δ Uвх /Δ Iвх = Δ Uбэ /Δ I бэ
Схема включения транзистора с общим эмиттером (ОЭ) − это основная схема.

Схема транзистора с ОЭ
Эмиттер является общим электродом для входной и выходной цепей,
I э = I б + I к
Коэффициент усиления по току с ОЭ
= Δ Iк / Δ I б при U кэ = const
Так как
Δ I б = Δ I э – Δ Iк,
то если a = 0,995, то Ki =
= Δ Iк / (Δ I э – Δ Iк) делим числитель и знаменатель дроби на ∆ I э и получим, что
.
Достоинства: малый ток I Б, большой β, коэффициент усиления по мощности достигает нескольких тысяч.
Схема с общим коллектором (ОК) (эмиттерный повторитель, так как напряжение на выходе примерно равно входному по величине и фазе) представлена на рисунке.

Схема транзисторов с ОК:
|
|
|
Где I Б – входной ток; I Э – выходной ток, D І Э = D І Б – D І К
Коэффициент усиления по току
K I = Δ I э/ Δ I б = (Δ I б + Δ Iк)/ Δ I б

Выходная характеристика транзистора
Используется для построения специальных каскадов, имеет большие R вх и малое R вых.
Основные характеристики и параметры транзисторов с ОЭ:
I к(U кэ) при I б = const – выходные характеристики;
I б(U бэ) при U кэ = const – входная характеристика;
I к(U бэ) при U кэ = const – передаточная характеристика.

а б
Входная и передаточная характеристики: а - входная; б - передаточная
Параметры:
1) дифференциальное выходное сопротивление (определяется по выходной характеристике)
Δ U кэ /Δ I к при I Б = const;
2) дифференциальное входное сопротивление (определяется по входной характеристике)
R вх =Δ U бэ/Δ I б при U бэ = const;
3) крутизна
S = Δ I к/Δ U бэ п=Δ U бэ при U кэ = const;
4) статический коэффициент усиления μ = SR вых ≈ SR к.
Для расчета и анализа цепей с биполярными транзисторами используются h -параметры. Считают I б и U кэ независимыми переменными, a U бЭ и I к − зависимыми, т. е,
U бэ = F 1(I б, V кэ),
I к = F 2(I б, U кэ),

Обычно h -параметры определяют по характеристикам:
h 11 = Δ U бэ/ Δ I б при U кэ = const (∆ U кэ = 0) – R вх, Ом;
Безразмерный коэффициент обратной связи по напряжению:
h 12 = Δ U бэ/ Δ U кэ при I б = const.
(h 12 = 0,002−0,0002 – мало, можно пренебречь).
Коэффициент передачи по току, безразмерный:
h 21 = Δ I к/ Δ I б при U кэ = const.
Выходная проводимость
h 22 = Δ I к/ Δ U кэ при I б = const.
Схема замещения (h 12 = 0).
Существуют следующие ограничения:
P к = I к · U кэ ≤ P к.max − для предотвращения перегрева коллектора;
U кэ ≤ U кэ.mах − во избежание пробоя коллекторного перехода, I к ≤ ≤ I к.mах − во избежание перегрева эмиттерного перехода. Для повышения P к.mах делают транзисторные сборки на I к до 500 А.

Схема замещения транзистора
Биполярные транзисторы широко применяются в усилителях, генераторах, логических и импульсных устройствах.






