Уравнения Максвелла для электромагнитного поля.
Ток смещения.
Вихревое электрическое поле.
Тема 5. Основы теории электромагнитного поля Дж.К.Максвелла
Лекция 14.
Осмысливая закон М.Фарадея, английский лорд Дж.К.Максвелл высказал гипотезу о том, что всякое переменное магнитное поле возбуждает в окружающем пространстве электрическое поле.
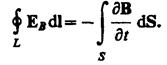
Итак, изменяющееся во времени магнитное поле порождает электрическое поле ЕB, циркуляция которого будет равна

(1)
Подставив в формулу (1) выражение
, получим, что

Операции дифференцирования и интегрирования можно поменять местами.
(2)
Примечание. Символ частной производной подчеркивает тот факт, что
является функцией многих переменных (не только от времени!).
Как известно, циркуляция вектора напряженности электростатического поля – EQ вдоль любого замкнутого контура равна нулю:
(3)
Сравнивая выражения (1) и (3), видим, что между рассматриваемыми полями (EB и ЕQ) имеется принципиальное различие, которое состоит в том, что циркуляция вектора EB в отличие от циркуляции вектора EQ не равна нулю.
Следовательно, электрическое поле EB, возбуждаемое магнитным полем, как и собственно само магнитное поле, является вихревым.






