Согласно Максвеллу, если всякое переменное магнитное поле возбуждает в окружающем пространстве вихревое электрическое поле, то должно существовать и обратное явление: всякое изменение электрического поля должно вызывать появление в окружающем пространстве вихревого магнитного поля.
Для установления количественных соотношений между изменяющимся электрическим полем и вызываемым им магнитным полем Максвелл ввел в рассмотрение, так называемый, ток смещения.
Что это такое, можно пояснить, рассматривая цепь переменного тока с конденсатором.
По Максвеллу, переменное электрическое поле в конденсаторе в каждый момент времени создает такое магнитное поле, как если бы между обкладками конденсатора существовал ток смещения, равный току в подводящих проводах.
Тогда можно утверждать, что токи проводимости (I) и смещения (Iсм) равны: Iсм =I.
Ток проводимости вблизи обкладок конденсатора – это

(1)
Поверхностная плотность заряда – s на обкладках равна электрическому смещению – D в конденсаторе.
Подынтегральное выражение в (1) можно рассматривать как частный случай скалярного произведения вектров
когда эти векторы взаимно параллельны (поскольку умножаются только модули, то косинус угла между ними равен 1!).
Поэтому для общего случая можно записать
Сравнивая это выражение с
, имеем, что
(2)

Выражение (2) и было названо Максвеллом плотностью тока смещения.
Подчеркнем, что из всех физических свойств, присущих току проводимости, Максвелл приписал току смещения лишь одно — способность создавать в окружающем пространстве магнитное поле. Ток смещения по своей физической сути — это изменяющееся со временем электрическое поле. Поэтому он существует не только в вакууме или диэлектриках, но и внутри проводников, по которым проходит переменный ток. Однако в данном случае он пренебрежимо мал по сравнению с током проводимости.
Далее, Максвелл ввел понятие полного тока, равного сумме токов проводимости (а также конвекционных токов) и смещения. Его плотность равна
(3)
Введя понятия тока смещения и полного тока, Максвелл по-новому подошел к рассмотрению замкнутости цепей переменного тока.
«Полный ток в них всегда замкнут, т. е. на концах проводника обрывается лишь ток проводимости, а в диэлектрике (вакууме) между концами проводника имеется ток смещения, который замыкает ток проводимости».
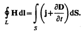
Максвелл обобщил теорему о циркуляции вектора Н (закон полного тока!), введя в ее правую часть полный ток
сквозь поверхность S, ограниченную замкнутым контуром L.
Тогда обобщенная теорема о циркуляции вектора Н запишется в виде
(4)
Выражение (4) справедливо всегда, свидетельством чего является полное соответствие теории и опыта.






