Введение Максвеллом понятия тока смещения привело его к завершению созданной им макроскопической теории электромагнитного поля.
В основе его теории лежат рассмотренные выше четыре уравнения:
1. Электрическое поле может быть как потенциальным (ЕQ), так и вихревым (ЕB), поэтому напряженность суммарного поля Е = ЕQ + ЕB. Так как циркуляция вектора ЕQ равна нулю, а циркуляция вектора ЕB определяется выражением (2) предыдущего раздела, то циркуляция вектора напряженности суммарного поля будет равна:

Это уравнение показывает, что источниками электрического поля могут быть не только электрические заряды, но и изменяющиеся во времени магнитные поля.
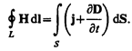
2. Обобщенная теорема о циркуляции вектора Н:

Это уравнение показывает, что магнитные поля могут возбуждаться либо движущимися зарядами (электрическими токами), либо переменными электрическими полями.
3. Теорема Гаусса для поля D:

Если заряд распределен внутри замкнутой поверхности непрерывно с объемной плотностью r, то теорема Гаусса для поля вектора электрического смещения запишется в виде

Это уравнение показывает, что электрические поля могут возбуждаться статическими зарядами.
4. Теорема Гаусса для поля В:

Это уравнение показывает, что магнитные поля не могут возбуждаться НИКАКИМИ статическими зарядами.
Итак, полная система уравнений Максвелла в интегральной форме имеет вид:

Величины, входящие в уравнения Максвелла, не являются независимыми и между ними существует следующая связь (так называемые материальные соотношения!):

где e0 и m0 — соответственно электрическая и магнитная постоянные, e и m — соответственно диэлектрическая и магнитная проницаемости, g — удельная проводимость вещества.
Из уравнений Максвелла вытекает, что
· источниками электрического поля могут быть либо электрические заряды, либо изменяющиеся во времени магнитные поля,
· магнитные поля могут возбуждаться либо движущимися электрическими зарядами (электрическими токами), либо переменными электрическими полями.
Уравнения Максвелла не симметричны относительно электрического и магнитного полей. Это связано с тем, что в природе существуют электрические заряды, но нет зарядов магнитных.
Для стационарных полей (E=const и B=const) уравнения Максвелла примут вид:

т.е. источниками электрического поля в данном случае являются только электрические заряды, источниками магнитного — только токи проводимости.
В данном случае электрические и магнитные поля независимы друг от друга, что и позволяет изучать отдельно постоянные электрическое и магнитное поля.
При решении прикладных задач электродинамики уравнения Максвелла, дополняют граничными условиями, которым должно удовлетворять электромагнитное поле на границе раздела двух сред.
Они были рассмотрены раньше:

Уравнения Максвелла играют в учении об электромагнетизме такую же роль, как законы Ньютона в механике.
Развитая теория позволила Максвеллу предсказать существование электромагнитных волн — переменного электромагнитного поля, распространяющегося в пространстве с конечной скоростью.
В дальнейшем было доказано, что скорость распространения свободного электромагнитного поля в вакууме равна скорости света с = 3×108 м/с.
В целом, на современном уровне развития науки теория Максвелла и принцип относительности Эйнштейна привели к созданию единой теории электрических, магнитных и оптических явлений, базирующейся на представлении об электромагнитном поле.