| Период | Взносы* | Проценты, начисленные за период | Наращенная сумма на конец периода |
| 500,00 | - | 500,00 | |
| 500,00 | 150,00 | 1150,00 | |
| 500,00 | 345,00 | 1995,00 | |
| 500,00 | 598,50 | 3093,50 | |
| 500,00 | 928,05 | 4521,55 |
* Взносы поступают в конце периода.
Таким образом, получается такая же сумма, как и по формуле наращения аннуитета.
Однако рассматриваемая формула используется только при начислении процентов один раз в год, но возможны случаи и неоднократного начисления процентов в течение года, тогда используют следующую формулу:
|
где j – номинальная ставка процентов.
Пример. Рассмотрим предыдущую задачу, изменив условия: проценты начисляются поквартально.
Решение:
В этом случае рента с начислением процентов 4 раза в год, а общее количество начислений составит 20 раз. Отсюда сумма всех взносов с начисленными на них процентами будет равна:
|
Отсюда сумма начисленных процентов будет равна:
I = FVA - P = 4'840,76 - 2'500,00 = 2'340,76 руб.
Как видим, переход от годового начисления процентов к ежеквартальному начислению заметно увеличил как наращенную сумму, так и сумму процентов.
|
|
|
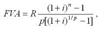
Бывают случаи, когда рентные платежи вносятся несколько раз в год равными суммами (срочная рента), а начисление процентов производится только раз в году. Тогда наращенная величина ренты будет определяться по формуле:
|
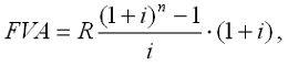
Также нередки случаи, когда рентные платежи вносятся несколько раз в году и начисление процентов также происходит несколько раз в год, но число рентных платежей не равно числу периодов начисления процентов, т.е. p ≠ m. Тогда формула по которой можно определить наращенную величину финансовой ренты примет вид:
|
На практике большее распространение получил поток постнумерандо, поскольку согласно общим принципам учета принято подводить итоги и оценивать финансовый результат операции или иного действия по окончании очередного отчетного периода. Что же касается поступления денежных средств в счет оплаты, то на практике они чаще всего распределены во времени неравномерно и поэтому для удобства все поступления относят к концу периода, что позволяет использовать формализованные алгоритмы оценки.
Поток пренумерандо имеет значение при анализе различных схем накопления денежных средств для последующего их инвестирования.
Рента пренумерандо отличается от обычной ренты числом периодов начисления процентов. Поэтому наращенная сумма ренты пренумерандо будет больше наращенной суммы обычной ренты в (1 + i) раз.
Для годовой ренты пренумерандо с начислением процентом один раз в год формула примет вид:
|
Для годовой ренты пренумерандо с начислением процентов несколько раз в год:
|
|
|
|






