Последовательные платежи в виде постоянной обычной годовой ренты определяются основными параметрами:
R – размер платежа;
n – срок ренты в годах;
i – годовая ставка процентов.
Однако при разработке условий финансовой операции могут возникать ситуации, когда заданной величиной является одна из двух обобщающих характеристик и неполный набор параметров ренты. В таких случаях находят недостающий параметр.
При определении члена ренты возможны два варианта, зависящие от того, какая величина является исходной:
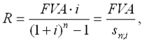
а) наращенная сумма. Если сумма долга определена на какой-либо момент в будущем (FVA), тогда величину последующих взносов в течение n лет при начислении на них процентов по ставке i можно определить по формуле:
|
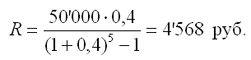
Пример. Для покупки автомобиля через 5 лет потребуется 50 тыс. руб. Определите размер ежегодных взносов, вносимых в конце каждого года в банк, который начисляет проценты по ставке 40%.
Решение:
В данном случае известна наращенная величина постоянной финансовой ренты, поэтому размер ежегодных взносов будет равен:
|
|
|
|
Таким образом, чтобы накопить на счете необходимую сумму для покупки автомобиля следует в конце каждого года в течении пяти лет откладывать 4'568 руб.
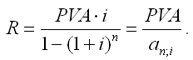
б) современная величина финансовой ренты, тогда, исходя из ставки процента и срока ренты, разовый платеж находится по формуле:
|
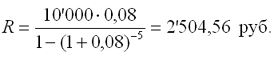
Пример. Сумма 10 тыс. долларов предоставлена в долг на 5 лет под 8% годовых. Определить ежегодную сумму погашения долга.
Решение:
Известна современная величина долга, отсюда:
|
Таким образом, ежегодно необходимо будет возвращать сумму 2'504,56 руб.
Можно произвести проверку: сумма долга с начисленными на нее процентами к концу пятого года будет составлять:
FV = 10'000 • (1 + 0,08)5 = 14'693,28 руб.
Наращенная сумма для потока платежей размером 2'504,56 руб. составит:
|
Следовательно, величина члена финансовой ренты определена верно. Незначительное расхождение вызвано округлением расчетов.
Современная величина ренты пренумерандо рассчитывается путем умножения современной величины обычной ренты на соответствующий множитель наращения.






