Современная (текущая) величина аннуитета

Помимо наращенной суммы обобщающей характеристикой потока платежей является современная величина. Современная (текущая) величина потока платежей (капитализированная или приведенная величина) – это сумма платежей, дисконтированных на момент начала ренты по ставке начисляемых сложных процентов. Это важнейшая характеристика финансового анализа, т.к. является основой для измерения эффективности различных финансово-кредитных операций, сравнения условий контрактов и т.п. Данная характеристика показывает, какую сумму следовало бы иметь первоначально, чтобы, разбив ее на равные взносы, на которые начислялись бы установленные проценты в течение всего срока, можно было бы получить указанную наращенную сумму.

Рис. 8. Логика финансовой операции определения современной величины потока платежей

В этом случае реализуется схема дисконтирования: все элементы с помощью дисконтных множителей приведены к одному моменту времени, что позволяет их суммировать.

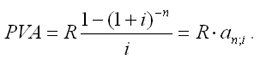
В простейшем случае, для годовой обычной ренты с выплатами в конце каждого года, когда момент оценки совпадает с началом ренты, современная величина финансовой ренты равна:

 

Дробь в формуле – коэффициент приведения ренты (an;i), значения которого табулированы для широкого круга значений, поскольку зависят от ставки процентов (i) и от числа лет (n) (Приложение 5).

Пример. Определить по данным примера современную величину ренты.

Решение:

Современная величина ренты составит:

 

Таким образом, все производимые в будущем платежи оцениваются в настоящий момент в размере 1'217,78 руб.

Рассмотрим расчет современной величины ренты для различных ее видов:

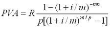
  • годовая рента с начислением процентов несколько раз в год:
;
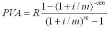
  • срочная рента при начислении процентов один раз в год:
;
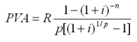
  • срочная рента с неоднократным начислением процентов в течение года, при условии, что число выплат не равно числе начислений, т.е. p ≠ m:
.




Подборка статей по вашей теме: