Внеклеточный матрикс образуется и формируется клетками, живущими в матриксе
В большинстве органов молекулы матрикса образуются клетками, называемыми фибробластами или клетками этого семейства (хондробласты в хряще и остеобласты в костной ткани). Их называют постоянными клетками. К этому типу клеток относят также макрофаги (гистиоциты), тканевые базофилы (тучные клетки, лаброциты, гепариноциты), адипоциты (липоциты), мезенхимные клетки, перициты.
На молекулярный состав межклеточного вещества оказывают влияние и т ранзиторные клетки. Эти клетки мигрируют в соединительную ткань из крови в ответ на специфический стимул. К ним относятся лимфоциты, плазматические клетки, эозинофилы, нейтрофилы, базофилы и др.
В состав межклеточного матрикса входят 3 основных класса белковых молекул:
- протеогликаны (ПГ) - представлены белками, соединенными с полисахаридами - гликозаминогликанами (ГАГ)
- фибриллярные белки двух функциональных типов: преимущественно структурные (семейства коллагена и эластина) и преимущественно адгезивные (семейства фибронектина или ламинина).
Все названные белки относятся к группе белково-углеводных комплексов.
БУК - особый вид соединений
БУК классифицируются по 2 критериям: (1) количеству (доле) углеводов в комплексе и (2) качественному моносахаридному составу. Различают протеогликаны (свыше 95% углеводов), мукопротеины (10-50% углеводов) и гликопротеины (менее 10% углеводов).
Протеогликаны (ПГ) - это белковые комплексы, в которых с молекулами белка ковалентно связаны гликозаминогликаны. Для большинства ГАГ характерны следующие признаки:
- содержат сульфатированные сахара
- имеют тенденцию состоять из разных дисахаридных единиц, образующих более сложные структуры
- один из двух повторяющихся остатков в составе дисахарида - это аминосахар: N- ацетил глюкозамин или галактозамин, который у большинства ГАГ сульфатирован
- второй сахар, как правило, уроновая кислота (глюкуроновая или идуроновая)
- имеют короткие олигосахаридные цепи
- сахара ковалентно связаны с белками в форме протеогликанов
- синтезируются внутриклеточно и покидают клетку путем экзоцитоза
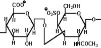
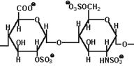
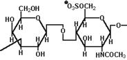
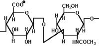
ГАГ классифицируют по строению остатков моносахаридов, типу связи между ними, числу и локализации сульфатных групп. Различают несколько семейств ГАГ: 1) гиалуронаты; 2) хондроитин и дерматан сульфаты; 3) кератан сульфаты; 4) гепарин и гепаран сульфаты.
| Гиалуронат:состоит из D-глюкуроната + ГлюNAц связь (1, 3) |
| Дерматан сульфат: состоит из L-идуроната (частично сульфирован) + ГалNAц-4-сульфат. Связь (1, 3) |
| Хондроитин 4- и 6-сульфаты: состоят из D-глюкуроната + ГалNAц-4- или 6-сульфата Связь (1, 3)(на рисунке ГалNАц 4-сульфат) |
| Гепарин и гепаран сульфаты: состоят из D-глюкуронат -2-сульфата (или идуронат-2-сульфата) + N -сульфо-D-глюкозамин-6-сульфата Связь (1, 4) (гепараны менее сульфированы чем гепарины) |
| Кератан сульфаты: состоят из галактозы + ГлюNАц-6-сульфата связь (1, 4) |






