Формулирования общей цели и критерия – это специфическая процедура, которая должна основываться на научной методологии. Чтобы правильно сформулировать общую цель и критерий, необходимо учитывать этапы и закономерности исторического процесса развития исследуемой системы, определение целей – требований надсистемы, определение целей и ограничений среды и др.
Согласно методологии системного анализа любая система (в частности, экономическая) характеризуется по крайней мере двумя группами целей: внешними и внутренними. В то время как внешние цели задаются надсистемой, внутренние цели формируются внутри системы. При этом внешние цели могут носить характер некоторых ограничений на область допустимых состояний системы в будущие периоды, внутренние могут быть реализованы самой системой и определяют множество желаемых состояний системы.
В связи с этим общая цель системы состоит в том, чтобы удовлетворить требования, предъявляемые к системе. Реализация общей цели связана с достижением ряда внутренних целей системы. Для экономической системы эти цели называются основными целями системы и к ним относятся: цели развития, функционирования, эффективности и социального обеспечения.
|
|
|
Постановка целей – наиболее важный момент в определении назначения системы. Без реальных и четко выраженных целей почти бессмысленны остальные функции и действия системы.
Если общая цель указывает направление действий, то критерий, в общем случае, дополняет понятие цели и указывает эффективный способ ее достижения. Очевидно, что поскольку общая цель системы имеет сложный характер и далеко не всегда может быть интегрирована единым показателем, то и критерий может иметь сложную форму.
Формулировка общей цели и критерия системы кладутся в основу целенаправленного поведения системы, которое характеризуется следующими чертами:
наличием общей цели и критерия ее достижения;
наличием иерархии целей, которая вытекает из разложения (декомпозиции) общей цели на подцели по степени важности и устойчивости порядка их предпочтений;
выбором способов действия на основе критериев для достижения цели;
учетом ограничений, определяемых процессами и ресурсами системы.
Такое описание целенаправленного поведения системы имеет три важных достоинства: универсальность, позволяющую описать с той или иной степенью достоверности любое поведение системы; формализуемость, т. е. возможность применять формальные методы описания и расчета; управляемость, т. е. цели, средства, вознаграждения являются теми компонентами, с помощью которых надсистема может управлять поведением системы.
|
|
|
Для выбора правильной стратегии управления полезно выполнить СВОТ-анализ (сила, слабости, возможности, оцасности). Он состоит в определении силы и слабостей наиболее важных заинтересованных сторон, а также возможностей и опасностей от проекта для заинтересованных сторон. Чаще всего для каждой стороны есть и возможности и опасности. После определения следует оценить их влияние на проект и затем сконцентрировать на них внимание [3].
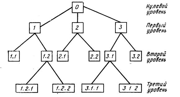
Декомпозиция целей системы. В сложных системах общая цель системы настолько отделена от конкретных средств ее достижения, что выбор решения в системе требует большой работы по увязке общей цели со средствами ее реализации путем декомпозиции целей. Эта важная и трудоемкая работа, как правило, является центральной в системном анализе. Для ее решения используется метод дерева целей, который является важным достижением системного анализа.
Метод получил в последнее время такое широкое распространение, что развернутую форму цели называют просто деревом целей (рис. 14).
Смысл декомпозиции общей цели заключается в том, чтобы связать общую цель системы со средствами ее достижения путем разложения ее на более мелкие цели, которые обеспечивают решение поставленной задачи. При этом должны быть выполнены два неформальных требования – полнота и непротиворечивость. Непротиворечивость выполненной декомпозиции означает отсутствие циклов в дереве целей. Требование полноты означает, что разложение каждой цели должно достаточно полно раскрываться через систему подцелей.

Рис.14. Дерево целей
Построение дерева целей подчиняется определенным логическим законам. Прежде всего цели всех последующих уровней отличаются друг от друга качественно, имеют различное содержание.
Это содержание может быть представлено, например, следующим рисунком (рис. 15).
| Главная цель | ||||||||
| 0-уровень | ||||||||
| ||||||||
| 1-уровень | Основные цели | |||||||
| 2-уровень | НАПРАВЛЕНИЯ ДЕЯТЕЛЬНОСТИ | |||||||
| 3-й уровень | ОБЛАСТИ РЕАЛИЗАЦИИ | |||||||
| 4-й уровень | МЕРОПРИЯТИЯ | |||||||
| 5-й уровень | ПУТИ РЕАЛИЗАЦИИ МЕРОПРИЯТИЙ | |||||||
| 6-й уровень | ЗАДАЧИ | |||||||
| 7-уровень | РЕСУРСЫ | |||||||
| Рис. 15. Структура дерева целей морского транспорта |
Цели верхних уровней более или менее устойчивы и постоянны во времени (их называют часто стратегическими целями). Цели средних уровней, называемые часто тактическими, подвержены большей динамике.
Незначительные изменения в формулировках или оценках целей верхнего уровня могут существенно повлиять на состав и число целей среднего уровня. На нижних уровнях вновь может наблюдаться довольно высокая устойчивость целей, обусловленная технологией производственного процесса. Разработку дерева целей можно разделить на четыре этапа.
|
|
|
1. Разработка сценария, под которым понимается систематизированное описание будущих условий функционирования системы. На этом этапе выделяются основные и второстепенные факторы, определяющие поведение системы. Он служит как бы предварительной вспомогательной информацией для построения дерева целей.
2. Построение первого (рабочего) варианта дерева целей, которое строится на основе сценария сверху вниз, уровень за уровнем, так, чтобы мероприятия последующего уровня обеспечивали достижение цели предыду щего уровня.
3. Оценка дерева целей, заключающаяся в идентификации (уточнении) и квантификации (количественном описании) целей. Основная доля работы на этом этапе приходится на получение от экспертов соответствующей информации. При этом используются разные специальные приемы и методы работы с экспертами. Производится оценка целей и их связей, устанавливаются критерии и весовые коэффициенты, осуществляется ряд расчетных процедур.
4. Выбор окончательного варианта декомпозиции целей, который осуществляется путем последовательного уточнения построенного дерева целей, анализа этапов 1 – 3 уже на качественно новом уровне и в гораздо более сжатые сроки.
Для того, чтобы добиться большей четкости, чтобы удобнее было получить количественные и временные оценки, цели всех уровней следует формулировать в терминах событий, а не терминах работ. При построении дерева целей используется естественная структура языка, которая на основе формального анализа позволяет логически, осмысленно проводить декомпозицию вышестоящей цели на подцели, учитывая следующие признаки: к т о достигает цели, где она достигается, с помощью чего она реализуется, к а к и к а к и м о б р а з о м она реализуется, к о г д а она достигается.
Построение дерева целей. Метод дерева целей основан на дезагрегировании (поэтапном расчленении) исследуемой проблемы на элементы с последующей возможной численной оценкой их относительной важности [3]. При построении дерева целей определяются цели развития или деятельности системы, которые последовательно детализируются и конкретизируются, – от целей в самой общей формулировке до отдельных мероприятий и работ. Причем элементы более низких уровней обеспечивают выполнение задач более высоких уровней дерева целей, являясь в то же время целями для элементов еще более низкого уровня. Нижние уровни конкретизируют пути и средства достижения поставленных целей. Такими путями могут быть проекты, программы, планы научно-технических работ и хозяйственных мероприятий и др.
|
|
|
Анализ целей и путей их реализации осуществляется поэтапно, на основании промежуточных решений, вынесенных по каждому этапу. Оценка важности отдельных элементов данного уровня дерева целей происходит не изолированно, а с учетом важности элементов более высоких уровней дерева целей. Коэффициенты относительной важности могут определяться как на основе количественных методов анализа, так и экспертных методов. Конечной стадией анализа с помощью дерева целей является ответ на вопрос, в какой степени решение любой из задач, находящихся на нижних уровнях, влияет на решение комплекса задач более высоких уровней дерева целей.
Таким образом, использование метода дерева целей дает возможность решить две основные задачи: позволяет разложить проблему на наборы элементов по уровням детализации, определить взаимосвязи и соподчиненность между ними; определить коэффициенты относительной важности элементов каждого уровня дерева целей. Рассмотрим решение этих задач как отдельных этапов метода дерева целей.
При построении дерева целей последовательно определяются:
принцип построения исходя из целей исследования;
принцип детализации элементов на каждом уровне дерева целей;
глубина детализацин; проверка на полноту набора элементов всех уровней, начиная с верхнего;
взаимосвязи между элементами дерева целей.
При построении дерева целей учитываются следующие условия:
соподчиненность, т. е. элементы нижнего уровня, подчиняются элементам более высокого уровня, вытекают из них, обеспечивают их реализацию;
сопоставимость, т. е. на каждом уровне дерева целей рассматриваются элементы, сопоставимые по своему масштабу и значимости и олученные в результате детализации по одному принципу;
полнота, т. е. дерево целей на каждом уровне включает без пропусков все элементы;
определенность, т. е. формулировка целей и других элементов дерева целей позволяет оценить степень их достижения в количественной или качественной (порядковой) форме.
В основу построения дерева целей могут быть положены два принципа – чисто целевой и последовательного дезагрегирования проблемы по схеме: цели – мероприятия по достижению целей – пути реализации мероприятий – отдельные задачи – ресурсы. Оба подхода к построению дерева целей не противоречат друг другу и применяются в зависимости от поставленной задачи. Возможны различные принципы детализации элементов дерева целей, в частности:
по признаку адресности, т. е. та или иная цель, мероприятие, задача и др. конкретизнруются по месту исполнения (Северо-Запад, Юг, Дальний Восток);
по признаку объекта, т. е. та или иная цель, мероприятие, задача и.др. конкрстнзируются по признаку производства (флот, порт, завод и др.);
по функциональному признаку, т. е. та или иная цель, мероприятие, задача и др, конкретизируются но признаку организационного, планового, регулировочного, контрольного характера.
Глубина детализацин элементов дерева целей (число уровней дерева целей) в основном определяется целями исследования. Если поставлена цель достижения какого-либо результата, то построение дерева целей должно проводиться до ресурсного уровня. Если поставлена пель совершенствования методологии управления, то по«троение дерева целей достаточно провести до уровня мероприятий и задач. Кроме того, число уровней дерева целей зависит от числа элементов, полученных на отдельных уровнях. Желательно, чтобы каждый элемент дерева целей дезагрегировался не более чем на восемь – десять элементов. В противном случае необходимо вводить промежуточный уровень.
Понятие полноты элементов в какой-то мере условно. Оно в сушественной мере определяется глубиной наших знаний об исследуемом объекте. Полнота элементов дерева целей проверяется на базе использования метода сценария, морфологнчсско~о метода, метода коллективной гснерации идей.
Взаимосвязь между элементами определяет три типа дерева целей: с прямыми связями, перекрестными и связями смешанного типа. При перекрестных связях один и тот же элемент какого-либо уровня дерева целей является составной частью сразу нескольких элементов более высокого уровня. Вследствие этого относительная важность элемента может быть в несколько раз выше, чем в том случае, когда он входит в состав только одного элемента более высокого уровня при прямых связях. Следует отметить, что дерево целей с перекрестными связями путем повторения одних и тех же перекрестных элементов может быть перестроено в дерево целей с прямыми связями.
Определение коэффициентов относительной важности. Рассмотрим основные методологические принципы, лежащие в основе определения коэффициентов относительйой важности элементов дерева целей. Прежде всего охарактеризуем критерии, используемые при этом определении. Эти критерии можно разбить на две группы:
1) оценка элементов данного уровня по их вкладу в достижение элементов более высокого уровня;
2) оценка элементов данного уровня с точки зрения возможностей их реализации. Эту группу критериев можно разделить на две подгруппы: а) ресурсные критерии; б) критерии условий реализации отдельных элементов.
В первую группу, в зависимости от рассматриваемого уровня дерева целей, могут включаться критерии, характеризующие: социально-экономическую, политическую, научно-техническую, оборонную значимость оцениваемых элементов; степень достижения уровня показателей и потребностей элементов верхнего уровня на базе элементов нижележащих уровней.
Во вторую группу включаются ресурсные критерии и критерии условий. В качестве ресурсных могут использоваться критерии, характеризующие: виды и объем ресурсов, необходимых для реализации оцениваемых элементов; дефицитность отдельных видов ресурсов как по объему, так и по времени.
Условия реализации отдельных элементов дерева целей могут быть учтены с помощью критериев, характеризующих: прогрессивность заложенных в элементы дерева целей научно-технических, экономических и других идей и концепций; совместимость использования оцениваемого элемента с существующей практикой организации, планирования и управления; уровень проработанности и величину задела; сроки реализации элемента и т. д.
Число и конкретное содержание отдельных критериев в каждом случае зависят от специфики проблемы и целей исследования. Чем ниже уровень дерева целей, тем конкретнее становятся формулировки критериев, тем большее значение приобретают ресурсные критерии и критерии условий реализации.
При определении коэффициентов относительной важности для однородности суждений экспертов и облегчения последующих расчетов вводится условие нормирования для экспертных оценок, т. е.

где сsj– весомость j-ro элемента у s-ro эксперта; n – количество оцениваемых элементов.
При определении коэффициентов относительной важности необходимо учитывать взаимозависимость между элементами одного уровня дерева целей. В частности, для реализации цели «улучшение экономических показателей работы предприятия» такие подцели, как совершенствование методологии управления и совершенствование технической базы, тесно связаны.
Полезность элементов можно определять через коэффициент полезности

где kji – полезность элемента j для элемента i одного уровня. Обычно kji = (1; 0,75; 0,5; 0,25; 0), и это означает, что необходимость элемента оценивается 1, сильное влияние – 0,75, среднее влияние – 0,5, слабое влияние – 0,25, отсутствие влияния – 0. В связи с этим коэффициенты относительной важности должны быть скорректированы на величину влияния коэффициента полезности, т. е.

Перейдем к рассмотрению алгоритма определения коэффициентов относительной важности элементов дерева целей при движении сверху вниз по его уровням. Отметим сразу, что расчеты этих коэффициентов для 1 уровня дерева целей и последующих уровней несколько различаются.
А. Расчет коэффициентов относительной важности элементов 1-го уровня дерева целей состоит из следующих шагов.
1. На основании экспертизы определяется множество коэффициентов относительной важности {
} каждого элемента j 1 уровня дерева целей, определяемое экспертом s по критерию w с учетом соблюдения условия нормирования.
2.На основании экспертизы определяется множество оценок относительной важности критериев {uws) с учетом соблюдения условия нормирования, т. е.
,
3. Определяются оценки компетентности каждого эксперта asj.
4. Определяются коэффициенты полезности j-x элементов 1 уровня kj.
5.Определяются средневзвешенные значения коэффициентов относительной важности элементов 1уровня по всем критериям,т. е.
6.Определяются скорректированные коэффициенты относительной важности элементов 1 уровня на величиyу влияния коэффициента полезности, т. е.
7. Осуществляется нормирование полученных коэффициентов относительной важности, т. е.

8. Определяются окончательные средние значения коэффициентов относительной важности элементов 1 уровня дерева целей с учетом компетентности экспертов:

Б. Расчет коэффициентов относительной важности элементов 2-го уровня и последующих уровней дерева целей состоит из следующих шагов.
1. На основании экспертизы определяется множество коэффициентов относительной важности
i-ro элемента 2-го уровня для достижения j-го элемента 1 уровня дерева целей, выполненное s-м экспертом по критери w.
2. На основании экспертизы определяется множество оценок относительной важности критериев {} с учетом соблюдения условия нормирования.
3. Определяются оценки компетентности каждого эксперта asi.
4. Определяются коэффициенты полезности i-x элементов 2-го уровня - ki.
5.Определяются средневзвешенные значения коэффициентов относительной важности элементов 2-го уровня по всем критериям:

6.Определяются коэффициенты относительной важности сsi i-х элементов из 2-го уровня каждого эксперта s учетом их влияния на достижение целей j-го элемента 1-го уровня, т. е.

7. Определяются скорректированные коэффициенты относительной важности элементов 2-го уровня на величину влияния коэффициента полезности, т. е.

8.Осуществляется нормирование полученных коэффициентов относительной важности, т. е.

9.Определяются окончательные средние значения коэффициентов относительной важности элементов 2 уровня дерева целей с учетом компетентности экспертов:


Обобщая изложенное, отметим основные предпосылки, которые кладутся в основу метода дерева целей:
возможность построения дерева целей;

возможность определения коэффициентов относительной важности элементов дерева целей с помощью экспертов;
ресурсы для данного экономического объекта считаются заданными;
коэффициенты относительной важности в первом приближении характеризуют пропорции распределения ресурсов.
Исходя из этих предпосылок, предлагается следующий порядок использования метода дерева целей (рис. 1).
Вначале осуществляется построение дерева целей. Детализация его элементов продолжается до тех пор, пока не появляются альтернативные варианты способов достижения целей.
Затем определяются первые варианты коэффициентов относительной важности элементов всех уровней.
Далее происходят ориентировочное распределение ресурсов в соответствии с коэффициентами относительной важности, детальное рассмотрение распределения ресурсов по уровням и корректировка коэффициентов относительной важности при движении снизу вверх по уровням дерева целей.