Таблица 2. Концентрнрование микроэлементов с помощью модифицированных сорбентов
| Определяемые элементы | Объект анализа | Комплексообразующий реагент | Матрица |
| Hg | Морская вода | Дитизон, теноил-трифторацетон | Бусины из полистирола (2%-ного дивинилбензола) |
| Cd, Hg | Растворы | Диэтилдитиокарбаминат натрия | Хромосорб |
| Сг, Си, Fe, Pb, Ni,Zn | » | Диметилглиоксим, 8-оксихинолин, двуза-мещенный фосфат натрия, щелочи | Анионообменники АВ-17иАВ-18в ОН'- форме |
| Cd,Cu,Hg, Mn,Zn | » | 1-(2-Пиридилазо)-2-нафтол,трикрезил фосфат | Мембрана из поливинилхлорида |
| Платиновые металлы | Отходы производства плати новых металлов | Тионалид | Бумага |
| Hg | Растворы | Дитизон | Полиуретановые пены |
| Au | Растворы | Трибутилфосфат, тиомочевина | Полиуретановые пены |
| Co, Fe, Mn | » | 1-(2-Пиридилазо)-2-нафтол | » |
Сравнительно недавно стали применять закомплексованные формы хе-латообразующих сорбентов для разделения лигандов. Вследствие стерических препятствий внутренняя координационная сфера иона металла при взаимодействии с хелатообразующими группами сорбента не заполняется полностью донорными атомами этих групп. Свободные координационные места иона металла могут заполняться молекулами растворителя или другими, находящимися в растворе лигандами, которые могут легко обмениваться на различные лиганды.
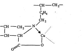
Селективность лигандного обмена ярко проявляется в распознавании оптически активных лигандов, например оптических изомеров аминокислот. Так, оптически активный сорбент с привитым Z-пролином, обработанный раствором сульфата меди, в результате чего образуется полимер следующей структуры: проявляет высокое сродство к D-изомерам аминокислот, тогда как Z-изомеры легко смываются водой

Кремнезем — это диоксид кремния во всех его формах: кристаллический, аморфный или гидратированный. Наиболее универсальны аморфные пористые кремнеземы, так как их структурные характеристики (величина поверхности, диаметр и объем пор, размер частиц и их прочность) можно изменять в широком интервале. Аморфный кремнезем имеет следующие разновидности: аэросилы — безводные, аморфные частицы кремнезема, получаемые при высокой температуре; аэросилогели (силохромы) — очень чистая и геометрически однородная форма пористого аморфного кремнезема с удельной поверхностью 70—150 м2 / г; силикагели — сухие гели поликремниевой кислоты (одна из самых важных разновидностей аморфного кремнезема, выпускаемая промышленностью); пористые стекла — особая форма аморфного кремнезема.
Механизм ионного обмена на кремнеземах, т. е. замещение протонов поверхностных ≡Si-OH-групп на катионы, доказан достаточно надежно. Однако сродство ионов металлов к поверхности кремнезема может определяться наряду с электростатическими силами также и некоторым дополнительным донорно-акцепторным взаимодействием. Рассматривая с этих позиций причины различной сорбируемости ионов на поверхности кремнеземов, следовало ожидать, что при прочих равных условиях наибольшее сродство будут проявлять ионы, у которых связь Me'n+-'-O-Si ≡ в поверхностных группах имеет частично ковалентный характер. Следует отметить, что катионозамещенные формы кремнеземов, полученные обработкой растворами соответствующих гидроксидов, применяют достаточно часто, поскольку они обнаруживают высокую сорбционную емкость и избирательность по сравнению с кремнеземами в Н-форме.
На кремнеземах разделяют близкие по химическим свойствам элементы, например цирконий и гафний. Вследствие большого радиуса и меньшего ионного потенциала гафния его комплексообразующая способность выражена слабее. Это способствует тому, что гафний из 10 М НС1 сорбируется в вице нейтральных комплексов, тогда как цирконий находится в основном в виде анионных комплексов и его сорбция протекает в значительно меньшей степени.
Высокая радиационная устойчивость кремнеземов позволяет длительное время использовать их в жестких радиационных условиях для извлечения и концентрирова-ния радиоактивных элементов из отходов радиохимических производств, разделения и получения чистых нуклидов, например и Zr и 9i Nb, а также для получения индивидуальных форм в разных степенях окисления, например Pa(IV) и Pa(V), Pu(IV)
и Pu(VI),HT.n.
Кремнеземы используют для поглощения органических примесей из воздуха;
они довольно активно сорбируют полярные молекулы из водных растворов.
Кремнеземы с химически привитыми молекулами органических соединений (ХМК) широко применяют в аналитической химии, биохимии. Укажем некоторые достоинства ХМК: высокая скорость установления сорбционного равновесия (что объясняется жесткостью каркаса и малой толщиной привитого слоя), механическая прочность и ненабухаемость частиц (это позволяет значительно уменьшить время отбора пробы); легкость и полнота десорбции сорбированных компонентов небольшими объемами растворителей.
Наиболее подробно изучены и широко используются на практике кремнеземы с привитыми алкильными группами. Какие же алкильные группы закрепляются на поверхности кремнеземов? Наиболее применимы кремнеземы с длинными алкильными цепями, обычно C8 и C12. В последнее время растет популярность кремнеземов с привитыми более короткими алкильными группами €4 и С3, особенно на широкопористых кремнеземах, используемых для анализа биологически важных высокомолекулярных соединений. Кремнеземы с привитыми арильными группами применяют реже, хотя они часто обладают более высокой селективностью, чем кремнеземы с алкильными группами.
Механизм сорбции на кремнеземах с привитыми алкильными группами сложен, в основном известны три вида взаимодействия: адсорбция сорбирующихся молекул на внешней поверхности привитого слоя, абсорбция молекул привитым слоем и взаимодействием сорбированных молекул с остаточными силанольными группами поверхности.
Взаимодействие ионов с поверхностью ХМК, содержащих ионогенные и комплексообразующие группы, осуществляется главным образом по механизму ионного обмена и комплексообразования.
Области использования ХМК многообразны. Уже в 1971 г. кремнезем с привитыми октадецильными группами был применен для отбора паров органических веществ из воздуха. С помощью ХМК проводят очистку воздуха от промышленных органических загрязнений, конценгрирование микропримесей органических веществ с целью последующего анализа загрязнений воздушного бассейна.
Кремнеземы с привитыми алкильными группами используют для концентрирования органических соединений из морской и пресной воды. Несмачиваемость кремнеземов с привитыми алкильными группами и, следовательно, их плавучесть определяет применение таких сорбентов для дифференцированного отбора проб из поверхностной пленки водоемов. Так, с помощью силохрома С-80, модифицированного гексадецилтрихлорсиланом, изучен состав пленок нефтепродуктов в Японском море. Проведенные эксперименты свидетельствуют о том, что ХМК с привитыми алкильными группами могут быть с успехом применены для концентрирования пленок органических веществ с поверхности моря, а работа с ХМК гораздо менее трудоемка, чем метод экстракции.
Кремнеземы с привитыми алкильными группами оказались весьма эффективными и для извлечения разнообразных классов биологически активных веществ из сыворотки и плазмы крови, мочи, желчи и экстрактов различных органов. Их используют также для концентрирования стероидов, пептидов, некоторых витаминов, нуклеотидов, простагландинов, сахаров, ряда метаболитов и лекарственных препаратов.
Для извлечения ионов металлов из растворов используют преимущественно ХМК с комплексообразующими группами. Эффективны сорбенты с привитыми группами иминодиуксусной, этилендиаминтриуксусной и гидроксамовых кислот, а также сорбенты с привитыми моно- и полиаминными группами и такими органическими реагентами, как неокупроин, 1,10-фенантролин, диэтилдитиокарбаминат, формазаны и др. Платиновые металлы Ра(П), Pt(IV), Ru(IV), 1т(Ш) и золото с высокой эффективностью сорбируются из разбавленных соляно-кислых растворов с помощью ХМК, содержащих моно- и полиаминные группы.
Кремнеземы с привитыми комплексообразующими группами применяют для извлечения ионов металлов из морской воды. Например, этилендиаминовым и ими-нодиацетатным сорбентами осуществлено селективное извлечение урана из морской воды и групповое извлечение Сu(П), Zn(П), Ni(II) и Со (П).






