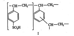
Ионообменники. Синтетические органические ионообменники представляют собой продукты полимеризации и поликонденсации непредельных органических соединений, содержащих кислотные (-80зН, -СООН, -ОН,-РОзН; и др.) или основные (- N(СНз)з, - NHз, =NH2+ и др.) группы. Ионообменники с кислотными группами способны обменивать катионы и называются катионообменниками. Сорбенты с основными группами обменивают анионы — это анионообменники. Приведем, например, структуры катионообменника КУ-2 (I) и анионообменника АВ-17 (II)


Ионообменники можно приготовить в виде мелкозернистого порошка, волокон, тканей, мембран и бумаги; известны макропористые гранулы. Иногда мелкие зерна сорбентов вносят в массу какого-либо инертного материала (так называемый наполненный сорбент) или наносят сорбент в виде тонкого слоя на поверхность шарика из другого материала.
Сорбция ионов происходит в результате их диффузии внутрь частиц смолы, а также адсорбции и электростатических взаимодействий. Таким образом, селективность сорбции ионов одного и того же заряда, возможно, будет определяться преобладающим типом сорбции. Следовательно, при доминировании электростатических взаимодействий селективно сорбироваться будут ионы, характеризующиеся высоким отношением заряда к радиусу сольватированной формы иона. При сорбции легко поляризующихся ионов ион с большим радиусом будет обладать более высокой обменной способностью. Если размеры ионов отличаются друг от друга, то разделение может основываться на различной способности проникновения ионов в структуру ионообменника.
Ионообменный процесс можно представить следующими уравнениями:

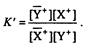
В общем виде равновесие можно написать, например, для катионного обмена

тогда константа обмена будет иметь вид

Известно несколько подходов к описанию ионообменных равновесий. Наиболее часто используются теоретические концепции, базирующиеся на применении закона действующих масс или мембранного распределения. Оба | подхода к описанию ионообменного равновесия не являются строгими.
С практической точки зрения необходимо признать, что ионный обмен iне очень селективный процесс. Чаще разделение на ионообменниках проводят путем изменения форм нахождения ионов в растворе, варьируя рН раствора или вводя комплексообразующие вещества, связывающие ионы в комплексы. Например, в щелочных растворах на анионообменниках алюминий,который в этом растворе существует в виде комплекса
А1(ОН)-4, можно отделить от щелочно-земельных элементов. Из солянокислых сред Ni(II), А1(Ш), Y(III), Th(IV) не сорбируются анионообменниками, поскольку они не образуют анионных хлоридных комплексов, тогда как большинство металлов сорбируется, проявляя значительные различия в величинах констант обмена.
Ионообменники применяют для сорбции микроэлементов и для поглощения матричных элементов. Их применение нередко затрудняется необходимостью иметь дело с большими объемами растворов. Однако при работе с микроколонками они достаточно широко используются во многих лабораториях для извлечения микроэлементов.
Хелатообразующне сорбенты. К ним относятся сшитые полимеры трехмерной структуры, обладающие комплексообразующими или одновременно ионообменными и комплексообразующими свойствами, обусловленными наличием функционально-аналитических групп, входящих в состав полимера. Закрепление тем или иным способом на полимерной матрице группы атомов или молекул органических реагентов, свойства которых хорошо известны, позволило получить сорбенты, обладающие повышенной селективностью.
В качестве полимерных матриц для синтеза сорбентов используют различные соединения: полимеры линейного и пространственного строения, полученные поликонденсацией и полимеризацией, природные органические полимеры, например целлюлоза и синтетические волокна.
Селективность хелатообразующих сорбентов определяется преимущественно природой хелатообразующих групп, в них содержащихся. Кроме того, селективность сорбции зависит от условий сорбции: рН раствора, концентрации и состояния соединений в растворе, присутствия комплексообразую-щих веществ и солевого фона. Их используют главным образом для избирательного концентрирования и разделения элементов на стадиях анализа, предшествующих собственно определению элементов различными методами. Применяются хелатообразующие сорбенты и для тонкой очистки растворов, например кислот, щелочей и солей различных металлов.
Известно много хелатообразующих сорбентов, которые могут быть использованы для избирательного концентрирования и разделения компонентов (табл. 2). Подбором сорбента с определенной хелатообразующей группой и условий сорбции можно достичь необходимой величины коэффициента распределения. Рис. 1 иллюстрирует возможность разделения Си и Ni, Си и Zn, Си и Со на иминодиацетатном сорбенте подбором рН.

Рис. 1. Зависимость от рН степени извлечения ионов Си, Ni, Zn и Со сорбентом с иминодиацетатными группами
В качестве матрицы используют не только синтетические полимеры, но и природные, особенно целлюлозу. С использованием целлюлоз, содержащих две аминогруппы или аминогруппу и дитиокарбоновую группу, разработан метод концентрирования микроэлементов при анализе природных вод.
Для извлечения благородных металлов из производственных растворов и продуктов переработки медно-никелевых шламов широко используют так называемые полимерные гетероцепные сорбенты. Активные атомные группировки этих сорбентов — компоненты самой матрицы; такие центры чаще входят в состав полимерных цепей в качестве гетероатомов. Например, полимерные тиоэфиры, содержащие фрагмент –СН2-S- или полимерный третичный амин с фрагментом —СН2—N—СН2—
. |
- СН2
Следует отметить, что полимерный третичный амин извлекает платиновые металлы без нагревания и введения лабилизирующих добавок типа SnCI2. Полимерные гетероцепные сорбенты применяют также для извлечения тяжелых металлов из природных вод и других объектов; определение металлов в концентрате осуществляют методами рентгенофлуоресцентной и атомно-абсорбционной спектроскопии.
Хелатообразующие органические реагенты вообще не обязательно закреплять на сорбентах химическим путем; их можно закрепить на поверхности ионообменника в виде второго слоя противоионов или механически спрессовать комплексообразую-щий реагент с инертной матрицей. Известно множество способов приготовления сорбентов, модифицированных комплексообразующими реагентами. Модифицированные сорбенты получены также на основе пенополиуретановых пен. Пенополиуре-таны — высокопористые материалы с высокой удельной поверхностью.
Примеры использования модифицированных сорбентов приведены в табл. 2






