Pyridoxine Hydrochloride — пиридоксина гидрохлорид
|
Белый мелкокристаллический порошок без запаха, горьковато-кислого вкуса. Т.пл. 203-206 °С (с разложением).
Пиридоксина гидрохлорид трудно растворим в этаноле, легко растворим в воде.
Установить подлинность пиридоксина гидрохлорида можно по УФ-спектрам. Его растворы в фосфатном буферном растворе (рН 7) имеют в области 280-450 нм максимумы поглощения: у пиридоксина гидрохлорида при 254 и 324 нм.
Испытания этих лекарственных веществ (по ФС) основаны на химических свойствах, обусловленных наличием в молекулах пиридинового цикла, фенольного гидроксила, атомов азота, связанной хлороводородной кислоты.
Фенольный гидроксил обнаруживают с помощью иона железа (III) (красное окрашивание, исчезающее от добавления разведенной серной кислоты). Наличие фенольного гидроксила в молекуле пиридоксина и в a-положении пиридинового цикла незамещенного атома водорода создает возможности для получения азокрасителей с различными диазосоединениями. А.М.Алиевым предложен способ идентификации и фотоколориметрического определения пиридоксина с помощью этой реакции. Для повышения стойкости образующихся окрашенных азосоединений им разработан способ, основанный на получении металлокомплекса пиридоксина с азокрасителем. В качестве реактива использована стабилизированная хлоридом цинка соль диазония. Образование металлокомплекса пиридоксина с азокрасителем происходит по схеме:
|
|
|

Эта реакция специфична для витаминов группы В6 и позволяет их дифференцировать по различной окраске. Пиридоксина гидрохлорид образует стойкое красно-фиолетовое окрашивание, пиридоксамина дигидрохлорид — красное, пиридоксаль — желто-оранжевое.
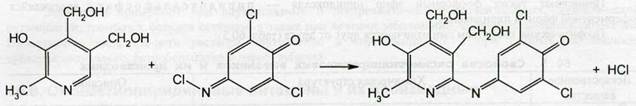
Идентифицировать пиридоксин можно по образованию индофенольного красителя с 2,6-дихлорхинонхлоримидом. Образующийся окрашенный в голубой цвет продукт извлекают бутиловым спиртом:

В присутствии борной кислоты образование индофенольного красителя не происходит, так как пиридоксин связывается в боратный комплекс:

Отсутствие положительной реакции в этих условиях служит подтверждением подлинности пиридоксина гидрохлорида.
Из других реактивов используют для идентификации пиридоксина гидрохлорида гетерополикислоты — кремневольфрамовую и фосфорновольфрамовую. Они образуют белые осадки кремневольфрамата или фосфорновольфрамата пиридоксина. При действии на кристаллы пиридоксина гидрохлорида 1%-ным раствором ванадата аммония в концентрированной серной кислоте образуется сине-фиолетовое окрашивание, обусловленное восстановлением ванадия (V) до ванадия (IV) (VO2+ — синего цвета) или ванадия (II) (V2+ — фиолетового цвета). Водный раствор пиридоксина гидрохлорида имеет в УФ-свете голубую флуоресценцию.
|
|
|
Осадок растворяется при добавлении 0,1 М раствора гидроксида натрия.
Пиридоксина гидрохлорид дает положительную реакцию на хлориды.






