В идеальном конденсаторе
, так как
. В реальном конденсаторе
и следовательно
и
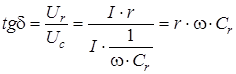
. Угол δ, дополняющий до 90˚ угол сдвига фаз между током и напряжением называется углом потерь конденсатора.
Реальный конденсатор с потерями можно заменить эквивалентной схемой, последовательной (рис. 39) или параллельной (рис. 40).

Для последовательной схемы:
[114]


Для параллельной схемы:
[115]
Величины r и R представляют собой значение сопротивления, эквивалентного потерям в конденсаторе и определяют активную мощность, расходуемую в конденсаторе; при последовательной схеме
, а при параллельной
.
Найдем связь между параметрами последовательной и параллельной схем, применив для этой цели символический метод. Напишем выражение для полного сопротивления при последовательной схеме и для полной проводимости при параллельной схеме:
[116]
. [117]
Полное сопротивление при параллельной схеме:
. [118]
Если последовательная и параллельная схемы изображают один и тот же конденсатор, то значения их полных сопротивлений
и
должны быть одинаковы как по величине, так и по фазе.
|
|
|
Приравнивая вещественные части имеем:
. [119]
Используя, выражение
получаем:
или [120]
. [121]
Приравнивая мнимые части, получаем:
, [122]
откуда
. [123]
Умножая числитель и знаменатель на
и используя формулу
имеем:
; [124]
или [125]
[126]
Применяя формулы [121] и [126] можно производить пересчет от одной эквивалентной схемы к другой. Обе эквивалентные схемы носят формальный характер, так как параметры r, R,
,
определены при некоторой данной частоте.
Зная величину
конденсатора, можно вычислить активную мощность:
[127]
Особенно потери велики при высоких значениях напряжения и при высокой рабочей частоте, что имеет место в контурных конденсаторах, применяемых в мощной радиопередающей аппаратуре, а также в некоторых типах импульсных конденсаторов.
Потери в конденсаторе складываются из потерь в диэлектрике и потерь в металле:
[128]
При низких частотах определяющей является
, а при высоких частотах
.