Самара
ПРЕОБРАЗОВАТЕЛИ
СПЕЦИАЛЬНЫЕ ЭЛЕКТРОМЕХАНИЧЕСКИЕ
Э.Г. ЧЕБОТКОВ
(ч.1. Специальные трансформаторы)
Самарский государственный технический университет
ФЕДЕРАЛЬНОЕ АГЕНТСТВО ПО ОБРАЗОВАНИЮ
ГОСУДАРСТВЕННОЕ ОБРАЗОВАТЕЛЬНОЕ УЧРЕЖДЕНИЕ
ВЫСШЕГО ПРОФЕССИОНАЛЬНОГО ОБРАЗОВАНИЯ
«САМАРСКИЙ ГОСУДАРСТВЕННЫЙ ТЕХНИЧЕСКИЙ УНИВЕРСИТЕТ»
_______________________________________________________________________________________________________
Э.Г. ЧЕБОТКОВ
СПЕЦИАЛЬНЫЕ
ЭЛЕКТРОМЕХАНИЧЕСКИЕ
ПРЕОБРАЗОВАТЕЛИ
(ч.1. Специальные трансформаторы)
Утверждено Редакционно-издательским советом университета
в качестве курса лекций
Самара
Самарский государственный технический университет
УДК 621. 313
Ч 34
Рецензент канд. техн. наук, проф. В.Е. Высоцкий
Ч 34 Специальные электромеханические преобразователи (ч. 1. Специальные трансформаторы): Курс лекц. / Э.Г. Чеботков; Самар. гос. техн. ун-т. Самара, 2008. 78 с.
ISBN 978-5-7964-1124-7
Содержатся общие сведения, теоретические основы, описание принципа действия, принципиальные схемы, характеристики и основные соотношения для курса лекций по специальным электромеханическим преобразователям. Предназначено для практических занятий и самостоятельной работы.
УДК 621. 313
Ч 34
ISBN 978-5-7964-1124-7 © Э.Г. Чеботков, 2008
© Самарский государственный
технический университет, 2008
ВВЕДЕНИЕ
Электромеханические преобразователи в системном понимании предназначены для производства, преобразования и накопления электроэнергии и являются, в общем случае, электрическими машинами. Научные исследования и развитие электроэнергетики привели к созданию электрических машин – источников и преобразователей энергии, которые вышли за пределы обычных электромеханических преобразователей.
Широкое и разнообразное применение специальных электромеханических преобразователей в энергетике, автоматизации производственных процессов и во всех отраслях промышленности определяет необходимость освоения инженерно-техническим составом, работающим в этой области, теории преобразователей, вопросов их разработки и применения.
Учебные планы технических университетов содержат курс «Проектирование, расчет и потребительские свойства электромеханических преобразователей» для студентов различных электротехнических специальностей. Учебный план для студентов специальности 140.601 предусматривает, кроме теоретического курса, практические занятия и достаточно большой объем самостоятельной работы.
Изучение курса специальных электромеханических преобразователей базируется на преемственности знаний, полученных при изучении таких предшествующих дисциплин, как высшая математика, физика, теоретическая механика, сопротивление материалов, теоретические основы электротехники, основы электроники и др.
Знания, полученные студентами при изучении специальных электромеханических преобразователей, необходимы для освоения материала по курсам: электромеханика и электрические машины, основы автоматизированного электропривода, электрические аппараты, электрические микромашины и др.
Данный курс лекций предназначен для освоения отдельного раздела специальных электромеханических преобразователей – изучения основ специальных трансформаторов, их узлов и деталей, – и практического применения полученных знаний для расчетов и конструирования.
1. СПЕЦИАЛЬНЫЕ ТРАНСФОРМАТОРЫ
Трансформатор является, в общем случае, статическим преобразователем электроэнергии переменного тока. Обычно трансформатор представляет собой электромагнитный аппарат, предназначенный для преобразования переменного тока одного напряжения в переменный ток другого напряжения той же частоты. Такие трансформаторы получили широкое распространение и применение в различных отраслях промышленности и сферах деятельности человечества.
Силовые трансформаторы используются в системах передачи и распределения электроэнергии, в системах электроснабжения переменного тока, в трансформаторно-выпрямительных блоках для получения постоянного тока статическими способами.
Трансформаторы находят широкое применение в качестве вторичных источников питания электронных аппаратов, вычислительных машин, бортовых систем электропитания, устройств защиты, коммутационной аппаратуры и др.
В различных отраслях промышленности, в системах автоматического регулирования и управления применяются специальные трансформаторы: дифференцирующие, согласующие, измерительные, выполняющие преобразование числа фаз, частоты, сварочные трансформаторы, регулирующие величину напряжения, пик-трансформаторы и др.
В данном курсе рассматриваются специальные трансформаторы.
1.2. Автотрансформатор
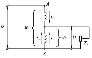
Автотрансформатор имеет всего лишь одну обмотку, часть витков которой является общей для первичной и вторичной цепей. На рис. 1.1 представлена схема понижающего автотрансформатора, где общей частью обмотки является участок АХ, ток в котором
. Учитывая, что токи
и
находятся в противофазе, получим следующее выражение тока:
.
Отсюда следует, что величина тока в общей части обмотки равна разности токов
и
.
Если коэффициент трансформации автотрансформатора немногим больше единицы, то токи
и
мало отличаются друг от друга, а их разность
составляет небольшую величину. Это позволяет выполнить часть обмотки АХ однофазного автотрансформатора из провода меньшего сечения. Если пренебречь потерями в автотрансформаторе, то можно принять, что мощность на входе
и мощность на выходе S2 = I2U2 приблизительно равны.
Эта мощность
называется проходной мощностью
. Кроме того, различают еще расчетную мощность
, представляющую собой мощность, передаваемую из первичной во вторичную цепь магнитным полем. Расчетной эту мощность называют потому, что размеры и вес трансформатора зависят от величины этой мощности. В трансформаторе вся проходная мощность является расчетной, так как между обмотками трансформатора существует исключительно лишь магнитная связь. Но в автотрансформаторе между первичной и вторичной цепями, помимо магнитной связи, существует еще и электрическая связь. А потому расчетная мощность составляет лишь часть проходной мощности, а другая часть этой мощности переносится из первичной во вторичную цепь за счет электрической связи между цепями, без участия магнитного поля. В подтверждение этого разложим проходную мощность автотрансформатора
на составляющие.
![]() |
Р и с.1.1. Принципиальная схема однофазного трансформатора
Воспользуемся для этого выражением, из которого следует
. Подставив это в формулу проходной мощности, получим

Здесь
– мощность, передаваемая из первичной цепи автотрансформатора во вторичную благодаря электрической связи между этими цепями. Таким образом, расчетная мощность в автотрансформаторе
составляет лишь часть проходной мощности.
Это дает возможность использовать для изготовления автотрансформатора магнитопровод меньшего сечения, чем в трансформаторе равной мощности. В связи с этим средняя длина витка обмотки также становится меньше, а следовательно, уменьшается расход меди на выполнение обмотки автотрансформатора. Одновременно уменьшаются магнитные и электрические потери, а к.п.д. автотрансформатора повышается.
Таким образом, автотрансформатор по сравнению с трансформатором равной мощности обладает следующими преимуществами: меньшим расходом активных материалов (медь и электротехническая сталь), меньшими размерами, более высоким к.п.д., меньшей стоимостью.
Указанные преимущества автотрансформатора тем значительнее, чем больше мощность
, а следовательно, чем меньше расчетная часть проходной мощности.
Величина мощности
обратно пропорциональна коэффициенту трансформации автотрансформатора
:

Из графика (рис. 1.2) видно, что применение автотрансформатора дает заметные преимущества по сравнению с двухобмоточным трансформатором лишь при небольших значениях коэффициентов трансформации. Например, при
вся мощность автотрансформатора передается во вторичную цепь за счет электрической связи между цепями (S3/Snp=l).
Наиболее целесообразно применение автотрансформаторов с коэффициентом трансформации
.
При большей величине коэффициента трансформации преобладающее значение имеют недостатки автотрансформатора, которые состоят в следующем:
1) большие токи короткого замыкания в случае понижающего автотрансформатора (при замыкании точек А и X (рис. 1.1) напряжение
подводится лишь к небольшой части витков, которые обладают очень малым сопротивлением короткого замыкания);
2) электрическая связь стороны ВН со стороной НН; это требует усиленной электрической изоляции всей обмотки;
![]() |
3) напряжение, возникающее в схемах понижения напряжения между проводами сети НН и землей и приблизительно равное напряжению между проводом и землей на стороне ВН, что недопустимо по условиям безопасности эксплуатации установок.
Автотрансформаторы могут быть повышающими и понижающими, однофазными и трехфазными. В последних обмотки обычно соединяются звездой (рис. 1.3).
Р и с. 1.2. Зависимость Р и с. 1.3. Схема трёхфазного
S эл/ S пр= f (KA) автотрансформатора
Широкое распространение получили автотрансформаторы с переменным коэффициентом трансформации. В этом случае автотрансформатор снабжается устройством, позволяющим регулировать величину вторичного напряжения путем изменения числа витков
. Осуществляется это либо переключателем, либо с помощью скользящего контакта (щетки), перемещаемого непосредственно по зачищенным от изоляции виткам обмотки. Такие автотрансформаторы называются регуляторами напряжения и могут быть как однофазными
![]() |
(тип РНО), так и трехфазными (тип РНТ). Устройство автотрансформатора типа РНО представлено на рис. 1.4.
Проводя аналогичные рассуждения, убеждаемся в том, что активное
и индуктивное хк сопротивления короткого замыкания автотрансформатора в
раз меньше, чем трансформатора. Поэтому напряжение короткого замыкания автотрансформатора
также в
раз меньше, чем трансформатора
, т.е.
.
Вследствие этого ток короткого замыкания автотрансформатора значительно больше, чем трансформатора. При коротком замыкании намагничивающий ток автотрансформатора во много раз увеличивается и может быть соизмеримым с током короткого замыкания. Это объясняется тем, что при нормальной работе м.д.с., создаваемые обмотками трансформатора на участках (см. рис. 1.1), взаимно уравновешиваются. Например, для повышающего автотрансформатора
. При коротком замыкании
, в результате чего сердечник очень сильно насыщается. Большой ток при коротком замыкании является недостатком автотрансформатора.
Существенным недостатком автотрансформатора является опасность попадания высокого напряжения в сеть низкого, так как обмотки соединены электрически. Поэтому изоляция сети низкого напряжения автотрансформатора должна быть той же, что и высокого.
Автотрансформаторы широко применяются в схемах автоматики, радиоэлектроники и проводной связи, в которых напряжение изменяется в пределах ±10-50%. Они также применяются в схемах пуска крупных синхронных и короткозамкнутых асинхронных двигателей и для осветительных установок. Автотрансформаторы со скользящим контактом обмотки нашли широкое применение в лабораторной практике, так как дают возможность плавно регулировать напряжение вторичной сети U2 от 0 до 1,2
.
1.3. Трансформаторы для преобразования числа фаз









