




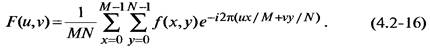
Спектр преобразования Фурье (Фурье-спектр) определяется по формуле:

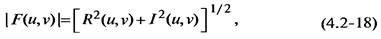
Фаза:

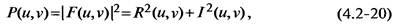
Энергетический спектр:












тричен.
Наиболее 


















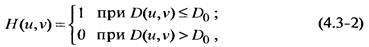
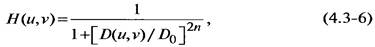
Фильтр,


щим название теорема о свертке.





По 










. Сравнивая низкочастотные филь-









лишь 2% полной энергии.








сокого порядка.

Передаточная функция гауссова фильтра низких частот для двумерного случая имеет вид:


мощью описанной ранее процедуры.










