Вопрос увеличения массы слитка всегда связан с оценкой качества металла, одним из показателей которого является химнеоднородность.
О качественной картине химической неоднородности можно судить по различному потемнению серного отпечатка. Для количественной оценки производят химический анализ проб металла из требуемых мест слитков, изделий или темплетов. Стружку для проб отбирают сверлением, как показано на рис. 7.13.
Для выполнения химанализа на квантометре по той же схеме вырезают из продольного темплета образцы размером 50×50 мм.
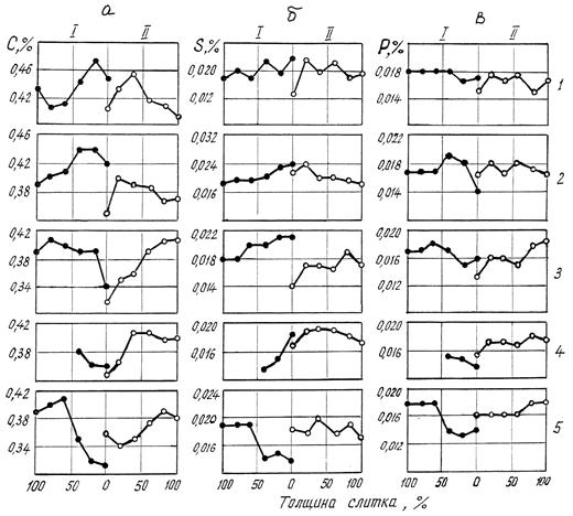
По каждому образцу определяют средний химсостав путем усреднения данных пяти определений на углерод, серу и фосфор. По данным химанализа устанавливают зависимости распределения углерода, серы и фосфора в опытном и сравнительном слитке. Результаты исследования химнеоднородности крупных листовых слитков приведены на рис. 7.14.
Как следует из рисунка концентрация всех элементов в периферийной зоне слитков массой 20 и 27 т не зависит от высоты горизонта и соответствует ковшевой пробе. Концентрация элементов в остальных точках на каждом горизонте и при переходе от горизонта к горизонту закономерно изменяется.
|
|
|
На верхнем и среднем горизонтах прослеживается тенденция возрастания содержания углерода и серы по мере продвижения к оси слитка, однако, это изменение не носит монотонного характера, отмечены отдельные скачки. На нижнем горизонте концентрация примеси сначала несколько увеличивается, потом значительно снижается к центру слитка. Более высокому содержанию примесей отвечает область, расположенная непосредственно под усадочной раковиной.
Для количественной оценки химической неоднородности затвердевших слитков различной массы по данным о распределении примесей по сечению слитка рассчитывают степень ликвации отдельных элементов
по формуле:
(7.1)
где
- соответственно наибольшее и наименьшее содержание примеси в пределах тела слитка;
а
|
б
|
Рисунок 7.10 – Фотографии серного отпечатка (а) и макроструктура (б) продольного темплета 51-т кузнечного слитка стали 55Х

а б
Рисунок 7.11 – Условные схемы кристаллической структуры кузнечных слитков в стали 55Х:
а – 20-т опытный слиток с уменьшенным отношением H/D, б – 22-т слиток обычной конфигурации; 1 – усадочная раковина, 2 – корковый слой, 3 – столбчатая зона, 4 – зона кристаллов различной ориентации, 5 – область крупных дендритных кристаллов, 6, 7 – зоны ликвации

Рисунок 7.12 – Кристаллическое строение крупных листовых слитков
а – ЛП-20, б – ЛП-27, в – ЛП-30

Рисунок 7.13 – Расположение точек отбора проб на химическую неоднородность из темплета слитка
|
|
|

Рисунок 7.14 – Распределение углерода (а), серы (б) и фосфора (в) в крупных листовых слитках массой 27 т (I) и 20 (II);
1, 2, 3, 4, 5 – уровни отбора проб (соответственно 85, 70, 60, 40, 15 % высоты тела слитка)
- исходное содержание примеси в жидкой стали.
Результаты расчета степени ликвации углерода, серы и фосфора в 20 и 27 т слитках стали марки Ст5сп приведены в табл.7.1.
Таблица 7.1 – Степень ликвации углерода, серы и фосфора в 20 и 27 т слитках стали марки Ст5сп
| Уровень отбора проб | Степень ликвации элементов в слитках различной массы, % | |||||
| углерод | сера | фосфор | ||||
| 20 т | 27 т | 20 т | 27 т | 20 т | 27 т | |
| Головной | +10,5 | +15,6 | +27,1 | +26,7 | +17,6 | +11,6 |
| Средний | -22,1 | -13,3 | -25,9 | -6,4 | +11,3 | +10,3 |
| Донный | -6,9 | -18,2 | -4,7 | -17,4 | -12,4 | -16,3 |
а
б