Данный вид анализа позволяет оценить влияние на результативный признак воздействие двух факторов как по отдельности, так и одновременно. В предыдущем разделе выяснялось, как влияет стаж работы на удовлетворенность профессии педагога. Но может влиять не только стаж, но и другие факторы. Например, пол. Для проверки данного предположения выборка была расширена, в нее были дополнительно включены 15 женщин-учителей, имеющих соответствующий стаж. Данные представлены в таблице.
| Первые 5 лет | 5 – 10 лет | 10 – 15 лет | |
| Педагоги-мужчины | |||
| Педагоги-женщины | |||
При использовании двухфакторного дисперсионного анализа выдвигаются три комплекта гипотез.
1. Но: различия показателей результативного признака, обусловленные действием гендерного фактора достоверно не превосходят случайные различия между показателями.
Н1: различия показателей результативного признака, обусловленные действием гендерного фактора достоверно превосходят случайные различия между показателями.
2. Но: различия показателей результативного признака, обусловленные действием фактора стажа достоверно не превосходят случайные различия между показателями.
Н1: различия показателей результативного признака, обусловленные действием фактора стажа достоверно превосходят случайные различия между показателями.
3. Но: влияние гендерного фактора, на результативный признак одинаково при разных градациях фактора стажа и наоборот.
Н1: влияние гендерного фактора, на результативный признак различно при разных градациях фактора стажа и наоборот.
Затем необходимо действовать по следующему алгоритму. Каждому из дисперсионных разрядов приписывается буквенный символ.
| Фактор стажа | |||
| Фактор пола | A | B | C |
| D | E | F |
При этом, допустим, значение МA означает среднее арифметическое значение для результирующих показателей, находящихся в разряде А (мужчин со стажем работы до 5 лет). А МA+B+C – среднее арифметическое сразу для трех разрядов: А, В и С (всех мужчин).
Теперь необходимо определить:
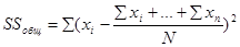
1. Среднее арифметическое значение для всех показателей и общую сумму квадратов разностей всех значений и общего среднего арифметического.


Внутригрупповые средние значения и внутригрупповые суммы квадратов разностей для каждого фактора.

SSвг стаж =
SSвг пол =
Средние арифметические значения по всем разрядом в отдельности и межгрупповую сумму квадратов совместного влияния факторов стажа и пола.

Случайное рассеивание внутри групп
SSслуч = SSобщ –SSвг стаж – SSвг пол - SSмг
2. Затем следует нахождение числа степеней свободы для каждого фактора, для суммы факторов и для случайного влияния.
dfстаж = количеству дисперсионных разрядов относительно фактора стажа - 1
dfпол = количеству дисперсионных разрядов относительно фактора пола - 1
dfмг = (количество разрядов фактора стажа – 1)*(количество разрядов фактора пола – 1)
dfслуч = N – 1 - dfстаж - dfпол
3. Следующий этап – нахождение средних сумм квадратов.


4. Нахождение эмпирических значений F-критерия и сравнение эмпирических значений с критическими.
В нашем случае это будет выглядеть следующим образом.
1. Мобщ = 7,21 SSобщ = 125,56
МA+D =
= 5,67 MA+B+C =
= 6,88
MB+E =
= 8,27 MD+E+F =
= 7,53
MC+F =
= 7,82
SSвг стаж = 12* (5,67-7,21) 2+11*(8,27-7,21) 2+11*(7,82-7,21) 2 = 45,07
SSвг пол = 17*(6,88-7,21)2+17*(7,53-7,21)2 = 3,56
МА = (5+…+8)/6 = 5,5 МD = (5+…+8)/6 = 5,83
МВ = (8+…+7)/6 = 8,17 МЕ = (10+…+9)/5 = 8,4
МС = (6+…+8)/5 = 7 МF = (9+…+9)/5 = 8,5
SSмг=6*(5,5-7,21)2+6*(8,17-7,21)2+5*(7-7,21)2+6*(5,83-7,21)2+5*(8,4-7,21)2+6*(8,5-7,21)2=3,06
SSслуч = 125,56 - 45,07 - 3,56 - 3,06 = 73,87
2. dfстаж = 3 – 1 = 2 dfпол = 2 – 1 = 1
dfмг = (3 – 1) * (2 – 1) = 2 dfслуч = 34 – 1 – 2 – 1 – 2 = 28
3. MSстаж = 45,07 / 2 = 22,54 MSпол = 3,56 / 1 = 3,56
MSмг = 3,06 / 2 = 1,53 MSслуч = 73,87 / 28 = 2,68
4. Fстаж = 22,54 / 2,68 = 8,54 Fпол = 3,56 / 2,68 = 1,35
Fмг = 1,53 / 2,68 = 0,58
| Факторы | Fэмп | dfчисл | dfзнам | Fкр (a=0,05) | Fкр (a=0,01) | Сравнение |
| Стаж | 8,54 | 3,34 | 5,453 | Fэмп>Fкр(0,01) | ||
| Пол | 1,35 | 4,196 | 7,636 | Fэмп<Fкр | ||
| Совм. влияние стажа и пола | 0,58 | 3,34 | 5,453 | Fэмп<Fкр |
Таким образом, мы принимаем принимаем Н1 из 2-го комплекта гипотез. Нами на уровне высокой статистической значимости установлена зависимость удовлетворенности профессией учителя от стажа. В то же время не установлена зависимость удовлетворенности профессией учителя от пола. Не установлена и зависимость результирующего показателя от совместного влияния факторов стажа и пола.






