Постановка задачи: зависит ли уровень удовлетворенности профессией у учителей от длительности работы в данной сфере деятельности? В школе были отобраны 3 группы учителей (6+6+5 человек) по одному и тому же предмету, все мужчины. Принадлежность к то или иной группе зависела от стажа работы в школе. Затем была исследована методом самоотчета степень удовлетворенности профессией (максимальный показатель = 10 баллам, минимальный – 0). Данные занесены в таблицу:
| Первые 5 лет | 5 – 10 лет | 10 – 15 лет |
Дальнейший этап - выдвижение гипотез.
Но: различия между градациями фактора достоверно не превосходят случайные различия внутри группы (то есть исследуемый фактор не влияет на результативный признак).
Н1: различия между градациями фактора достоверно превосходят случайные различия внутри группы (то есть исследуемый фактор влияет на результативный признак).
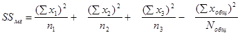
Затем необходимо определить объем разрядов, возвести в квадрат все значения и определить общую сумму квадратов.
|
|
|
| X1 | X12 | X2 | X22 | X3 | X32 | S(X1+X2+X3) |
| 25 | 64 | 36 | 19 | |||
| 9 | 81 | 25 | 17 | |||
| 36 | 100 | 81 | 25 | |||
| 16 | 81 | 49 | 20 | |||
| 49 | 36 | 64 | 21 | |||
| 64 | 49 | 15 | ||||
| Sx1=33 | Sx12=199 | Sx2=49 | Sx22=411 | Sx3=35 | Sx32=255 | Sxобщ=117 |
| n1=6 | n2=6 | n3=5 | Nобщ=17 |
Теперь необходимо произвести вычисления по следующим формулам:



, где С – количество разрядов (от англ. column - колонка)



В указанные формулы подставляются соответствующие значения.

59,76



4
Таблицы для определения критических значений отличаются от других таблиц (столбцы не соответствуют уровням критической значимости) и составлены по другому принципу: столбцы расположены в соответствии со степенями свободы между группами, а строки – в соответствии со степенями свободы внутри групп. В связи с этим, для фиксации критических значений рекомендуется составить следующюю таблицу:
| Fэмп | df мг (числитель) | df вг (знаменатель) | Fкрит (p=0,05) | Fкрит (p=0,01) |
| 3,914 | 3,739 | 6,515 |
Fэмп>Fкр (р=0,05) Þ H1 ст.зн.
Таким образом, мы можем сказать, что исследуемый фактор (стаж работы в школе) влияет на степень удовлетворенности профессией. Для ответа на вопрос о характере этого влияния необходимо определить средние арифметические значения для каждого разряда и построить график.
| X1 | X2 | X3 |
| Мх1=5,5 | Мх2=8,17 | Мх3=7 |
При анализе гистограммы можно увидеть, что на первом этапе удовлетворенность работой педагога низка, на отрезке 5 – 10 лет она имеет максимальные значения и в последующие 5 лет несколько снижается.
|
|
|






