Теория капиллярных вискозиметров
Теория кроме гипотез сплошности и непрерывности, использует следующие допущения и ограничения: скорость жидкости на стенке принимается равной нулю, продукт считается несжимаемым; реологические характеристики неизменны по длине и не зависят от времени, т.е. на течение не оказывает влияния процессы тиксотропии, реопексии и релаксации. Однако отмечены случаи проскальзывания продукта относительно стенки, т.е. скорость на стенке не равна 0. Теория предусматривает, например, для степенных жидкостей при индексе течения, равном 0, “стержневой” режим движения, при котором вся масса перемещается как твердый стержень и скорость на стенке равна среднеобъемной скорости потока, а градиент скорости на стенке стремится к бесконечности.
Основной предпосылкой научной обоснованности и объективности данных, полученных на капиллярных вискозиметрах, является отсутствие турбулизации потока, т.е. режим движения должен быть ламинарным или структурным. Режим движения характеризуется критерием Рейнольдса Rе, который представляет собой безразмерное числовое значение, пропорциональное отношению кинетической энергии потока mω2/2 (где m – масса; ω – среднеобъемная скорость) к работе сил вязкого сопротивления Рl (где Р – сила сопротивления; l – длина):
|
|
|
Rе =pdω/η,
где p – плотность жидкости, кг/м3;
d – диаметр трубки, м;
η – вязкость жидкости, Па•с, или ее эквивалент.
Критерий Рейнольдса не должен превышать 150, а длительность истечения жидкости быть меньше 100 с (ориентировочный показатель для стеклянных капиллярных вискозиметров). При измерении вязкости воды вискозиметром Оствальда при длине капилляра 0,1 м, диаметре 0,0005 м время истечения рекомендуют выбирать больше 100 с, т.е. подбирать соответствующий объем жидкости (2-5 мл).
В общем случае теория капиллярной вискозиметрии рассматривает равномерное (силы инерции равны 0) прямолинейное (центробежные силы равны 0) движение в горизонтальной трубке (силы тяжести проектируются на ось, совпадающую с направлением движения, и равны 0).
Закон вязкого течения Ньютона. Вязкость.
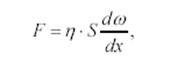
Ньютон в 1867 году предложил, что внутреннее трение при течение жидкости зависит от относительной скорости перемещения ее частиц. Закон вязкого течения жидкости, установленный Ньютоном постулируется так: сила внутреннего трения, проявляющаяся при перемещении одного слоя жидкости относительно другого, прямо пропорциональна градиенту относительной скорости этого перемещения по поверхности слоев.
Математическая запись закона Ньютона такова:
(3.1)
где F - сила, действующая на поверхности слоя в направлении, противоположном его движению, Н;
|
|
|
S - площадь слоя, м2;
dω - относительная скорость движения слоев, находящихся на расстоянии dx;
η - коэффициент пропорциональности, зависящий от природы
жидкости и являющийся одной из важнейших характеристик (его называют коэффициентом вязкости или просто вязкостью).
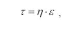
Введем следующие понятия. Сила, приходящаяся на единицу площади слоя в направлении его движения, называется касательным (тангенциальным) напряжением, или напряжением сдвига Н/м2 τ.
По определению τ = F/S. Величина dω /dx называется скоростью
деформации и обозначается ε. Размерность напряжения сдвига Н/м2, скорости деформации – с-1.
С учетом изложенного (3.1) принимает вид:
(3.2)
Чтобы найти вязкость (ее размерность Н*с/м), необходимо решить уравнение (3.1) или (3.2) применительно к конкретным условиям течения жидкости.
При определении вязкости ньютоновских жидкостей в капиллярных
вискозиметрах воспользуемся формулой Пуазейля:
(3.8)
где Q – расход жидкости через капилляр, мм3;P – потери давления в капилляре, Па;d - диаметр капилляра, мм; η - ньютоновская вязкость; l – длина капилляра, мм; m – поправка длины капилляра, учитывая потери давления на вход и выход из капилляра, П – 3,14
Давление на входе в капилляр является гидростатическим и определяется по формуле:
P =ρ gh
где ρ - плотность жидкости, г/мм3; g – ускорение свободного падения, м/с2; h – высота столба жидкости над входом в капилляр, мм.
Подставив (3.2) в (3.1) получим:
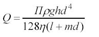
(3.10)
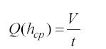
Отсюда следует, что расход через капилляр линейно зависит от высоты h. Интегрируя выражение (3.3) по всему объему полости из которой вытекает жидкость в капилляр, можно определить время истечения жидкости. Эта задача существенно упрощается тем, что полость изготовлена симметрично относительно плоскости со средней высотой столба жидкости hср. Поэтому расход можно принять постоянным и равным Q=Q(hср), тогда
(3.11)
где: V- объём полости, из которой вытекает жидкость, мм3; t - время истечения жидкости из полости, с.
Подставляя выражение (3.4) в (3.3) и выражая ньютоновскую вязкость,
получим
(3.12)
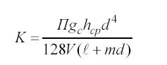
Выделив постоянные для данного капиллярного вискозиметра параметры, получим
(3.13)
(3.15)
где К – постоянная вискозиметра;

gс – стандартная величина ускорения свободного падения.
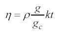
Чтобы исключить влияние плотности жидкости обычно определяют её кинематическую вязкость:

Тогда окончательно получаем формулу для определения кинематической вязкости капиллярным вискозиметром:

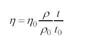
Важным является обеспечение постоянной и строго фиксированной температуры в процессе определения вязкости. Это достигается термостатированием вискозиметра. Существует еще один способ определение вязкости, когда вязкость определяют по отношению к известной вязкости стандартной жидкости. Вязкость двух жидкостей, измеренных при равных условиях в одном и том же капилляре, будут связаны выражением:
