Лекция № 7
Общие требования, назначение и классификация
Ротационные вискозиметры широко применяются почти во всех отраслях пищевой промышленности в технологических лабораториях предприятий, в научно-исследовательских организациях, в учебных заведениях. Вискозиметры служат для контроля качества исходного сырья, полуфабрикатов и готового продукта, а также для контроля технологических процессов.
В вискозиметрах с вращающимися роторами, в особенности при малом зазоре между ними, характер течения продукта близок к простому сдвигу, что упрощает обработку опытных данных. Диапазон материалов, свойства которых контролируются на ротационных вискозиметрах, достаточно широк: сиропы, молоко, бражки, кремы, шоколад и конфетные массы при повышенной температуре, фарши, творожные массы и т.п.
Вискозиметры ротационного типа по сравнению с другими обладают рядом преимуществ, особенно при испытании материалов с большой вязкостью; они надежны в эксплуатации и могут применяться как для экспресс-измерений, так и для непрерывного измерения вязкости с целью регулирования технологического процесса. Обязательным условием процесса измерения является создание и поддержание в рабочем зазоре ламинарного движения продукта. Так как реологические характеристики пищевых материалов в значительной степени зависят от температуры, необходимо обеспечить контроль температуры продукта в измерительном зазоре, а также предусмотреть возможность стабилизации этой температуры. Конструкция вискозиметра должна удобной в работе, обеспечивать простоту заправки и очистки измерительного зазора.
|
|
|
Для получения достоверных данных необходимо, чтобы вискозиметр обладал высокой степенью надежности в работе. Обязательным требованием, предъявляемым к ротационным вискозиметрам, особенно индивидуального изготовления, является метрологическая обеспеченность поверки характеристик прибора.
Наряду со многими достоинствами ротационные вискозиметры имеют и недостатки, вызываемые тепловыделениями в слое испытуемой пищевой массы, находящейся в узком кольцевом зазоре. Поэтому необходимо работать в условиях, при которых выделение теплоты заведомо ничтожно, либо пользоваться методами пересчета экспериментальных данных с учетом тепловыделений.
Вязкость η (в Па•с) продукта при сдвиге и момент на бесконечно длинном роторе связаны следующим образом:
η = ΜсК/ω или Μс = ηω/К,
где Μс – момент сил сопротивления на внутреннем роторе, Нм;
К – коэффициент, зависящий от геометрических размеров и формы поверхностей, соприкасающихся с продуктом, м-3;
|
|
|
ω - угловая скорость внутреннего цилиндра, с-1.
Из уравнения следует, что для определения вязкости продукта необходимо знать Μс, К, ω. Обычно для данного типоразмера воспринимающего элемента вискозиметра коэффициент К известен; задаются ω и определяют момент на воспринимающем элементе при помощи чувствительного элемента или задаются Μс (например, при помощи падающих грузов) и определяют угловую скорость.
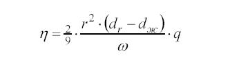
Семейство ротационных вискозиметров включает в себя системы с соосными цилиндрами, конусами, сферами и некоторыми другими поверхностями вращения. Помимо типа рабочих поверхностей (цилиндры, конусы и др.), ротационные вискозиметры отличаются друг от друга также устройствами для измерения момента вращения. В последнее время для изучения биологических жидкостей стали применяться приборы в которых внутренний цилиндр свободно плавает в испытуемой жидкости. Передавая к этому цилиндру момент вращения с помощью магнитного поля или через промежуточную жидкость, по его угловой скорости можно оценивать вязкость. Известны приборы для определения вязкости по скорости затухания колебаний. Среди них назовем ультразвуковые вискозиметры. Измерительным элементом их служит металлическая пластина, совершающая возвратно-поступательное движение с ультразвуковой частотой. К ним относится один из первых приборов для измерения вязкости, сконструированный Кулоном. В приборе Кулона вязкость оценивалась по затуханию колебаний в жидкости цилиндра, подвешенного на упругой нити. В лабораторной практике вязкость иногда оценивают по скорости движения шарика в жидкости. Если используется метод падения шарика, то измеряют его скорость ω, и вязкость вычисляют по уравнению Стокса:

где d r - плотность шарика, г/мм3;
r - его радиус, мм;
d ж - плотность жидкости, г/мм3;
q - ускорение силы тяжести, м/с2.






