Винтовые гидравлические двигатели

4.4.1. Принцип действия и устройство

Винтовой двигатель представляет собой забойный агрегат (рис.4.9) с гидравлическим объемным двигателем, приводимый в действие потоком бурового раствора, который закачивается в бурильную колонну с поверхности насосами.

Винтовой двигатель состоит из статора и эксцентрично расположенного винтового ротора, представляющего собой как бы зубчатую пару с внутренним зацеплением с винтовыми зубьями. Число зубьев статора на один больше зубьев ротора, что позволяет ему совершать планетарное движение, как бы обкатываясь по зубьям статора: ось ротора при этом движется по окружности диаметром, равным двойному эксцентриситету е. Для соединения ротора с валом шпинделя, соосно расположенного с корпусом, служит шаровая двухшарнирная муфта, компенсирующая эксцентриситет.

Шпиндель винтового двигателя сходен по конструкции со шпинделем турбобура. Он укреплен на радиальных резинометаллических подшипниках и снабжен шаровой пятой для восприятия осевой нагрузки. Вал шпинделя - пустотелый, в верхней части снабжен каналами для прохода жидкости к долоту, присоединяемому через переводник к нижней части вала двигателя. Корпус последнего через переводник прикрепляется к нижней части бурильной колонны.

По принципу действия винтовые двигатели относятся к объемным роторным машинам. Основными элементами рабочих органов таких машин являются: статор - корпус с полостями, примыкающими по концам и камерам высокого и низкого давления; ведущий ротор - винт, вращающий момент которого передается валу шпинделя;

Винтовые поверхности статора и ротора делят рабочий объем двигателя на ряд полостей. Полости, связанные с областями высокого и низкого давления, называются камерами, а замкнутые полости - шлюзами. В поперечном сечении имеются камеры, разделенные между собой контактной линией. Каждая камера по мере вращения периодически связывается с полостями высокого и низкого давления и в каждый заданный момент времени становится шлюзом. Теоретически на длине одного шага происходит разобщение полостей, находящихся выше и ниже рабочих органов.

Поверхности винтовых зубьев ротора и статора, взаимно пересекаясь, отсекают область высокого давления жидкости от области низкого давления и препятствуют ее свободному перетоку. Под действием перепада давления жидкости на ведущем винте образуется вращающий момент, передаваемый на вал шпинделя. Чем больше перепад давления на двигателе, тем больше вращающий момент. По принципу действия винтовой двигатель можно сравнить с поршневым гидравлическим двигателем, снабженным поршнем, который перемещается вдоль оси ротора по винтовой линии. Роль поршня выполняют отсекающие поверхности винтового ротора.

Винтовые двигатели и насосы имеют ряд преимуществ, что позволило использовать их как гидравлические забойные двигатели:

· отсутствие клапанных и золотниковых распределителей потока жидкости;

· отсутствие относительного перемещения трущихся деталей пары

ротор - статор;

· непрерывное изменение положения линии контакта рабочих органов при вращении ротора позволяет потоку бурового раствора удалять абразивные частицы из камер и шлюзов.

Условия создания шлюзов в паре ротор - статор объемных винтовых двигателей следующие:

число зубьев или заходов статора z 1 должно быть на единицу больше зубьев ротора z 2

отношение шага зубьев статора Т к шагу зубьев ротора должно быть пропорционально отношению их числа, т. е.

(4.16)

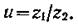
Отношение чисел зубьев статора и ротора называется передаточным числом

(4.17)

Теоретически винтовой двигатель может иметь любое передаточное число.

4.4.2. Основные параметры винтовых двигателей

Винтовые двигатели имеют разные передаточные числа, зависящие от соотношения числа зубьев ротора и статора. Двигатели, имеющие

u = 1:2, развивают максимальные частоты вращения и минимальные вращающие моменты. Их применяют, когда требуется высокая частота вращения.

По мере увеличения числа заходов ротора (т. е. передаточного отношения) уменьшается частота вращения и увеличивается вращающий момент. Это объясняется тем, что многозаходный роторный механизм, каким является винтовой двигатель, в отличие от других механизмов представляет собой соединение гидравлического двигателя и понижающего планетарного редуктора, причем передаточное число редуктора пропорционально заходности ротора.

Многозаходные рабочие органы имеют большую протяженность контактных линий по сравнению с рабочими органами, имеющими отношение u =1:2. Это предопределяет снижение механического и общего к. п. д. винтовых двигателей с многозаходными рабочими органами. В то же время двигатели с многозаходными рабочими органами обладают большой нагрузочной способностью и более жесткой характеристикой, что обусловило выбор для забойного винтобура Д2-172М передаточного числа

и = 9: 10.

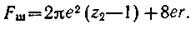
Вращающий момент - основная характеристика винтового двигателя. При анализе его рабочего процесса рассматривается действие перепада давления жидкости в камерах пары ротор - статор, так как на этой длине происходит разобщение камер с полостями высокого и низкого давления, расположенных выше и ниже рабочих органов. В каждом поперечном сечении на длине шага ротора возникает неуравновешенная гидравлическая сила R 1, действующая на центр вращения ротора (рис. 4.9).

В двигателях с многозаходным ротором площадка, на которую действует гидравлическая сила, непостоянна по длине шага. Если провести второе сечение на некотором расстоянии от рассматриваемого, то возникает гидравлическая сила на единице длины рабочего органа. Вращающий момент (в Н·м) на длине шага ротора

Mt=pDtez 1 / 2, (4.18)

где р - перепад давления, Па; D - расчетный диаметр ротора, м; t - шаг зубьев ротора, м; е - эксцентриситет, м; z 1 - число зубьев статора.

Поперечная удельная сила (в Н/м) на длине половины шага ротора

(4.19)

Вращающий момент винтовых двигателей

(4.20)

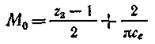
где М0 - удельный момент винтового двигателя

(4.21)

(се - безразмерный параметр, являющийся отношением эксцентриситета е к радиусу зуба зацепления r).

Удельный момент зависит от числа заходов ротора и безразмерного параметра се. По физическому смыслу он представляет собой момент винтового механизма с единичными размерами (D, е и t) и единичным перепадом давления. Удельный момент минимален для однозаходных механизмов и возрастает с увеличением числа заходов.

Частота вращения вала винтовых двигателей объемного действия

(4.22)

где Q - расход жидкости, подаваемой в двигатель, м3/с; V0 - объем камеры рабочего органа двигателя, м3

(4.23)

Здесь Fш - площадь поперечного сечения шлюза, м2; Т - шаг винтовой поверхности статора, м; z2 - число зубьев ротора.

В винтовых двигателях с гипоциклоидальным центроидным зацеплением площадь сечения шлюза

(4.24)

Кроме того, поскольку передаточное число определяет скорости переносного ωпер и относительного ωот движений, можно записать

(4.25)

После подстановок и соответствующих преобразований получим выражение для расчета частоты вращения выходного вала винтового двигателя:

(4.26)

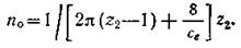
где no - удельная частота вращения выходного вала безразмерный параметр, определяемый заходностью рабочего органа двигателя и коэффициентом се.

(4.27)

По физическому смыслу величина no представляет собой частоту вращения винтового механизма с единичными геометрическими размерами и единичным расходом жидкости. Винтовые двигатели с однозаходным ротором являются высокоскоростными, поэтому более рациональны многозаходные винтовые механизмы. В частности, для получения частоты вращения выходного вала двигателя в пределах 100 - 200 об/мин число заходов ротора должно быть не менее восьми. В двигателях Д1-195 и

Д2-172м выбрано число заходов ротора, равное девяти.

4.4.3. Характеристика забойного винтового двигателя

Энергетические параметры винтового гидравлического двигателя определяются его передаточным числом, перепадом давления и расходом рабочей жидкости. При постоянном расходе Q двигатель характеризуется изменением вращающего момента М от перепада давления D р, частоты вращения п вала шпинделя, мощности N и к.п.д. η.

На рис. 4.10 приведена рабочая характеристика винтового забойного двигателя Д2-172м.

Наибольшая частота вращения соответствует режиму холостого хода, а максимальный вращающий момент - режиму торможения при n = 0. Двигатель запускается при перепаде давления D р = 1÷2 МПа. Это давление расходуется на механические и гидравлические потери. При увеличении момента торможения перепад давления возрастает, одновременно повышаются мощность и к. п. д.

Режим максимальной мощности называется эффективным, а наивысшего к. п. д. - оптимальным. Обычно в этих двигателях они не совпадают. Зона устойчивой работы двигателя находится между этими режимами. В рабочем режиме гидромеханический к. п. д. составляет 0,4 - 0,5, объемный - 0,8 - 0,9, а общий достигает 0,5 - 0,55. При достижении предельного момента торможения вал двигателя останавливается, а величина давления определяется герметичностью пары ротор - статор. При нарушении герметичности раствор протекает через двигатель.

В рабочей области от режима холостого хода до оптимального частота вращения п прямо пропорциональна расходу Q, поэтому при изменении расхода Q 1 на Q 2частота вращения

n 2 = n I Q 2 /Q l. (4.28)

С увеличением расхода раствора диапазон устойчивой работы двигателя расширяется. В винтовых двигателях частота вращения существенно зависит от величины вращающего момента. В этих двигателях по мере их износа характеристики ухудшаются. Это объясняется повышением утечек жидкости через зазоры по мере их увеличения при износе. Износ ротора и статора по выступам и профилю зубьев приводит к нарушению герметичности рабочей пары, увеличению объемных потерь и снижению нагрузочной характеристики. Износ рабочей пары определяет межремонтный срок службы двигателя, составляющий 50 - 200 ч в зависимости от качества двигателя и свойств бурового раствора.

Техническая характеристика винтовых двигателей

Типоразмер Д1-195 Д2-172М Д-127 Д-85 Д1-54
Частота вращения, об/мин 100-130 115-220 200-250 225-290 180-480
Вращающий момент, кН·м 5,0-6,1 2,9-4,1 1,0-1,2 0,27-0,34 0,06-1,08
Мощность, кВт 50-80 33-92 20-30 6-10 1,3-3,1
Расход жидкости, м3 30-40 23-36 12-15 5,7 1,0-2,5
Перепад давления, МПа 5-6 4,5-6 3,5-4,5 2,7-3,0 3,8-4,2
Наружный диаметр, мм         5,4
Длина, м 6,23 6,90 4,40 3,19 2,0
Масса, кг          




Подборка статей по вашей теме: