Несоответствие СРНС первого поколения требованиям высокоточного непрерывного навигационного обеспечения привело к разработке нового, второго, поколения СРНС. Характерными особенностями СРНС второго поколения являются применение средневысотных (среднеорбитных) ИСЗ и использование для навигационных определений сигналов нескольких одновременно находящихся в зоне радиовидимости ИСЗ. В состав СРНС входят подсистема ИСЗ, подсистема контроля и управления (наземный командно-измерительный комплекс) и подсистема аппаратуры потребителей.
В состав космической подсистемы входят 18-24 ИСЗ, размещенные равномерно в трех орбитальных плоскостях, разнесенных по долготе на 120° (рис. 14.4). Высота орбит ИСЗ 20 000 км, период обращения 12 ч. В зоне радиовидимости потребителя в любой момент может находиться от 4 до 11 ИСЗ, что обеспечивает возможность непрерывного определения трех координат (долгота, широта, высота). СРНС имеет собственное системное время, хранимое на борту ИСЗ эталонами частоты. Временные шкалы всех ИСЗ согласованы между собой и синхронизируются системой единого времени. Подсистема контроля и управления (наземный командно-измерительный комплекс) осуществляет слежение за ИСЗ и обеспечивает спутники информацией, необходимой для формирования радионавигационных сигналов и навигационных сообщений.

Рис. 10.4. Размещение искусственных спутников земли (ИСЗ).
Навигационная аппаратура потребителей (подсистема аппаратуры потребителей) производит выбор рабочего созвездия ИСЗ, поиск и слежение за сигналами, обработку измеряемых РНП и эфемеридной информации для определения координат и составляющих скорости потребителей.
В рассматриваемой СРНС ИСЗ излучают двоичный фазоманипулированный сигнал, код которого является индивидуальной принадлежностью каждого ИСЗ. Это позволяет всем ИСЗ работать на общей несущей частоте, не создавая заметных внутрисистемных помех. Измеряемыми радионавигационными параметрами служат время запаздывания и доплеровское смещение частоты принимаемого радионавигационного сигнала относительно его образца, формируемого на борту потребителя. Фазоманипулированный сигнал, имеющий базу FэTк»1000 (Fэ-эффективная ширина спектра; Tк-период кода), излучается на несущей частоте f = 1,5 ГГц, обеспечивая высокую точность измерения обоих параметров. Время запаздывания принятого сигнала относительно шкалы времени потребителя включает начальное расхождение шкал времени потребителя и ИСЗ и задержку распространения сигнала на трассе ИСЗ-потребитель. Если фазы опорных генераторов потребителя и ИСЗ совпадают (расхождение шкал времени равно нулю), то измеряемое время запаздывания пропорционально дальности между ИСЗ и потребителем. В противном случае оно пропорционально квазидальности (псевдодалыюсти) и для оценки координат необходимо использовать квазидальномерные или разностно-дальномерные измерения подобно тому, как это делается в наземных РНС.
Измерение времени запаздывания принимаемого сигнала производится на основе корреляционного метода. Формируемая в приемнике копия сигнала ИСЗ перемножается с принятым сигналом, образуя корреляционную функцию. Выходной сигнал коррелятора достигает максимального значения, пропорционального числу элементов кода, когда формируемая копия (образец) совпадает по времени и частоте с принимаемым сигналом. Получаемый максимум функции корреляции пропорционален времени интегрирования в корреляторе. Выбором достаточно большого времени интегрирования достигается высокая точность измерения.
Поиск максимума функции корреляции на плоскости время-частота тем надежнее, чем меньше уровень боковых лепестков. В связи с тем что сигналом является двоичная ФМ-последовательность большой длины (N»1000), уровень боковых лепестков сравнительно мал и они практически не влияют на надежность поиска.
В связи с тем что для определения координат необходимо иметь сведения о местоположении ИСЗ на каждый момент времени, в рассматриваемой СРНС, как и в СРНС первого поколения, на борту потребителя следует располагать эфемеридной информацией. Для этого на борту ИСЗ дальномерный ФМ радионавигационный сигнал подвергается дополнительной фазовой манипуляции

Рис. 14.5
на 0 и 180° в соответствии с информационным сообщением, представленным последовательностью нулей и единиц. Требуемая скорость передачи информации (эфемериды, поправки на распространение радиоволн и др.) невелика (около 50 бит/с), поэтому длительность одного информационного символа составляет приблизительно 20 000 мкс, в то время как период дальномерного кода - около 1000 мкс, что практически исключает влияние передаваемого сообщения на качество измерения псевдодальностей на борту потребителя. Таким образом, выделяемый на борту потребителя информационный сигнал несет сведения о параметрах движения ИСЗ, а дальномерный радионавигационный сигнал - сведения о параметрах движения потребителя относительно ИСЗ. Для составления навигационных уравнений удобно использовать систему декартовых координат (рис. 14.5) с началом в центре Земли (геоцентрическую прямоугольную систему координат). Обозначив через хисз, уисз zисз и хп уп, zп координаты ИСЗ и потребителя, квадрат расстояния между ними представим как
D2= (xисз-xn)2 +(yисз-yn)2 +(zисз-zn)2 (14.4)
Если бы шкалы времени ИСЗ и потребителя были точно совмещены, то для нахождения координат достаточно было бы измерить три РНП (D1, D2, D3 - расстояния до трех ИСЗ), составить систему из трех уравнений вида (14.4) и найти из нее три неизвестные: xn, уn, zn. При наличии расхождения шкал времени Dt= const измеренная квазидальность включает величину сDt, поэтому систем; уравнений принимает вид
(Di+ сDt)2= (xисзi-xn)2 +(yисзi-yn)2 +(zисзi-zn)2 (10.5)
где индекс i соответствует номеру ИСЗ. Для расчета xn, уn, zn, Dt требуется измерить четыре РНП (Di + cDt, t=l, 2, 3, 4) и решить систему из четырех уравнений (14.5)
Система уравнений (14.5) может быть использована для определения координат как при дальномерных, так и при квазидальномерных измерениях. В первом случае Dt = 0 и для решения задачи можно ограничиться лишь тремя уравнениями Dt=1,2,3). При квазидальномерных измерениях шкалы времени потребителя и ИСЗ не совмещены, но Dt неизменно в процессе навигационного сеанса. Поэтому для решения задачи необходимо провести дополнительное, четвертое, измерение (Dt+cDt), дополнив таким образом число уравнений до четырех.
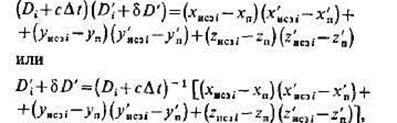
Возвращаясь к решению навигационной задачи при квазидальномерных измерениях, укажем на возможность оценки составляющих вектора скорости потребителя по результатам измерений разности частот принятого сигнала и бортового опорного генератора. Для этого вновь обратимся к системе уравнений (14.5). Переход от измерения дальностей (квазидальностей) к измерению скоростей (квазискоростей) позволяет с помощью дифференцирования по времени уравнений (14.5) вычислить значения составляющих вектора скорости потребителя х'n, у'n z'n. Прежде чем перейти к формальной записи новой системы уравнений, целесообразно рассмотреть влияние изменения величины Dt в процессе измерений на погрешности определения координат и скорости потребителя. При высокой стабильности опорных генераторов и достаточно высокой точности установки их номинальных частот изменение Д(за время навигационного сеанса невелико и при нахождении координат потребителя им можно пренебречь. При измерении же скорости зависимость Dt от времени существенно влияет на погрешность измерения.
Для количественной оценки этого влияния рассмотрим характерный для СРНС пример. Пусть несущая частота сигнала f= 109 Гц. Относительное расхождение номиналов частот опорных генераторов потребителя и ИСЗ равно 10-10, что соответствует абсолютному расхождению 0,1 Гц.
В этом случае шкалы времени потребителя и ИСЗ перемещаются друг относительно друга на 1 нc за 1 с, что соответствует изменению дальности со скоростью 0,3 м/с. Если время, затрачиваемое на измерение дальности (квазидальности), равно 1 с, то пренебрежение изменением Dt приведет к погрешности 0,3 м, что намного меньше погрешностей, обусловленных другими причинами (изменчивость условий распространения радиоволн, инструментальные ошибки, влияние помех и др.). Если же измеряемым параметром является скорость, то при тех же условиях погрешность измерения радиальной скорости составит 0,3 м/с, что существенно превышает допустимую погрешность измерения скорости.
С учетом изложенного после дифференцирования (14.5) получим

где dD и -поправка радиальной скорости за счет расхождения частот опорных генераторов потребителя и ИСЗ i=1,2,3,4.
Имея в виду, что xn, уn, zn, Dt определены на первом этапе решения навигационной задачи [при решении системы уравнений (14.5)], х'исзi, у'исзi z'исзi транслированы на борт потребителя информационным сообщением, а сумма D't + dD' измерена на борту потребителя с помощью сравнения частот принятых сигналов с частотой опорного генератора, получаем систему из четырех уравнений с неизвестными х'ni, у'ni z'n, dD'. Решение этой системы позволяет найти значения составляющих вектора скорости потребителя и поправку на сдвиг частоты его опорного генератора относительно частоты генератора ИСЗ.
§ 14.3. Принципы построения аппаратуры потребителей спутниковых радионавигационных систем второго поколения
Основные задачи, решаемые аппаратурой потребителя. К числу потребителей СРНС второго поколения относятся наземные объекты (подвижные и неподвижные), летательные аппараты (высокодинамичные и низкодинамичные) и др. В зависимости от типа потребителя требования к точностным характеристикам, числу измеряемых координат и составляющих скорости, допустимому времени вхождения в синхронизм, массогабаритным показателям и стоимости аппаратуры потребителя колеблются в широких пределах. Для наземных и морских объектов достаточно ограничиться измерением двух координат и двух составляющих скорости. Для летательных аппаратов число измеряемых координат и составляющих скорости возрастает до трех. Поэтому номенклатура модификаций бортовой аппаратуры весьма обширна.
При рассмотрении задач, решаемых аппаратурой потребителя, и принципов ее построения будем ориентироваться на технические характеристики средневысотной СРНС «Навстар», конфигурация подсистемы космических аппаратов которой представлена на рис. 14.4.
С борта каждого ИСЗ системы «Навстар» непрерывно излучаются два взаимно когерентных ФМ-колебания на несущих частотах 1575,42 и 1227,6 МГц. Использование двух несущих частот преследует те же цели, что и в СРНС «Транзит», а именно возможность вычисления и учета поправок на распространение радиоволн в ионосфере. В СРНС «Навстар» применяют два дальномерных сигнала: сигнал высокой точности (ВТ) и сигнал пониженной точности (ПТ). Сигнал ВТ формируется манипуляцией фазы несущей частоты (1575,42 МГц) на +90°, а сигнал ПТ - манипуляцией той же несущей на 0 и 180°. Ортогональность (квадратура) сигналов ВТ и ПТ обеспечивает возможность их полного разделения на борту потребителя. На частоте 1227,6 МГц излучается только ВТ-сигнал. Поэтому устранение ионосферной рефракционной погрешности возможно только для потребителей, располагающих аппаратурой обработки ВТ-сигнала. Для простоты изложения сосредоточим внимание лишь на сигнале ПТ.
Сигнал ПТ, излучаемый i-м ИСЗ на частоте f0, = 1575,42 МГц, можно представить в виде
si(t) = XGi(t)Dci(t)sin2pfot, (14.8)
где XGi(t) - дальномерный код в виде двоичной ФМ-последовательности (длительность символа дальномерного кода Tо»1 мкc); Dci(t)-код данных (информационное сообщение), принимающий значения ± 1 при скорости передачи 50 бит/с (длительность символа кода данных равна 20 мс). Код XGi(t) является последовательностью Голда. Каждая такая последовательность образуется путем перемножения двух специально подобранных двоичных М-последовательностей одной и той же длины N (в СРНС «Навстар» N=1O23). При различных временных сдвигах перемножаемых М-последовательностей получаются различные последовательности Голда. Каждому ИСЗ в системе присвоена своя, индивидуальная последовательность Голда.
Основными задачами, решаемыми аппаратурой потребителя, являются: выбор рабочего созвездия ИСЗ, поиск и опознавание навигационных сигналов ИСЗ, введение в синхронизм систем слежения по времени запаздывания и фазе несущей частоты дальномерных сигналов, измерение времени запаздывания и доплеровского сдвига частоты, выделение и расшифровка содержания навигационного (информационного) сообщения, расчет координат ИСЗ на момент навигационных измерений, решение навигационной задачи (определение координат и составляющих вектора скорости потребителя, поправок к сдвигу шкал времени и частот), отображение вычисленных данных на информационном табло.
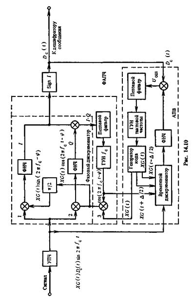
Упрощенная структурная схема аппаратуры потребителя представлена на рис. 14.6. Она включает антенное, приемное и вычислительное устройства, а также пульт управления и индикации.
Антенное устройство состоит из антенны, ВЧ-блока и блока управления диаграммой направленности (ДН) антенны. Оно обеспечивает прием, предварительную частотную селекцию и усиление сигналов. ДН антенны в простейшем случае близка к полусфере. Для потребителей, к качественным показателям которых предъявляются особенно высокие требования, применяют антенны с управляемой ДН. Когда одна из антенн формирует ДН в направлении ИСЗ, расположенного в зените, а другие - в направлениях ИСЗ, находящихся на малых углах возвышения, то используются антенные блоки.
Приемное устройство выполняет функции супергетеродинного приемника, а также осуществляет первичную обработку сигналов. Гетеродинные частоты формируются из колебаний опорного генератора с помощью синтезатора частот. С УПЧ сигналы поступают на блоки поиска (по времени запаздывания и частоте) и измерения. После завершения поиска в блоке измерения происходит захват сигналов системами автоматической подстройка частоты (АПЧ), фазы (ФАПЧ) и времени (АПВ). По завершении переходных процессов в следящих системах

Рис. 10.6
вырабатываемые в блоке измерения значения РНП (квазидальности, квазискорости), а также код информационного сообщения Dc(t) поступают на вычислительное устройство.
Вычислительное устройство содержит блок связей и собственно вычислитель, который на рис. 10.6 упрощенно представлен в виде блока процессоров и запоминающих устройств (ЗУ). Основой вычислителя являются микропроцессоры, дополненные модулями памяти. В зависимости от модификации аппаратуры в вычислитель обычно входит от одного до четырех микропроцессоров.
Пульт управления и индикации содержит клавиатуру управления и индикационное табло, на котором по желанию оператора могут

Рис. 10.7
отображаться измеряемые координаты, составляющие вектора скорости, результаты расчетов сервисных задач (расчетное время прибытия в пункт назначения, отклонения от заданного маршрута и т. п.), результаты тестовой проверки отдельных блоков и всей аппаратуры в целом.
Модификации аппаратуры потребителей. Можно выделить три основные модификации аппаратуры потребителей. Аппаратура первого класса предназначена для быстрых высокоточных навигационных определений координат места и скорости, а также поправок времени высокодинамичных потребителей в условиях сложной помеховой обстановки. Упрощенная структурная схема аппаратуры потребителей первого класса представлена на рис. 14.7. В ее состав входит пятиканальный блок АПВ, АПЧ и ФАПЧ. Четыре канала используются для слежения за несущими частотами (ИСЗ,= 1, 2, 3, 4), один канал (АПВ) обеспечивает последовательное слежение за задержками сигналов ВТ и ПТ на частотах 1227,6 и 1575,42 МГц поочередно для всех четырех ИСЗ.

Рис. 10.8
Аппаратура потребителей второго класса предназначена для низкодинамичных объектов. Это дает возможность ограничиться последовательным слежением за несущей частотой четырех ИСЗ при сохранении того же режима АПВ, как и в аппаратуре первого класса. Сокращение числа систем АПЧ и ФАПЧ до одной заметно упрощает аппаратуру потребителей и снижает ее стоимость.
Аппаратура потребителей третьего класса представлена упрощенной структурной схемой рис. 10.8. Она удовлетворяет требованию минимальной стоимости и рассчитана на прием лишь сигнала ПТ на частоте 1575,42 МГц, а также поочередное определение РНП по рабочим ИСЗ. Сигнал ПТ по сравнению с сигналом ВТ имеет в десять раз большую длительность элементарного символа кода, что сказывается на значении ошибки измерения квазидальности. Кроме того, отказ от использования сигнала частоты 1227,6 МГц не позволяет компенсировать ошибку, обусловленную изменчивостью условий распространения радиоволн. Все это существенно снижает точность навигационных измерений. Например, для неподвижного потребителя при отсутствии организованных помех среднеквадратическая погрешность измерения квазидальности составляет около 30 м, в то время как при тех же условиях аппаратура первого и второго класса позволяет получить погрешность не более 5 м.
Поиск сигнала. Исходными данными для установления общего числа М ячеек в зоне неопределенности на плоскости время-частота являются число элементарных символов N за период кода Тk априорный интервал доплеровского сдвига частот ±Fd, ширина полосы захвата системы АПЧ Df. В рассматриваемой СРНС можно принять N= 1000, ±Fд= ±5 кГц, Df3= 500 Гц.
Отсюда число анализируемых ячеек M=NFd/Df3= 104. В простейшем случае некогерентный обнаружитель анализирует ячейки зоны неопределенности методом последовательного перебора по частоте и времени. По результатам накопления смеси сигнала с шумом принимается решение о наличии или отсутствии сигнала в данной ячейке. При отрицательном решении осуществляется переход в очередную ячейку, при положительном замыкается цепь АПВ и АПЧ и контролируется наличие синхронизации в следящих системах. Отсутствие синхронизации свидетельствует о ложном срабатывании устройства поиска. В этом случае поиск возобновляется. При подтверждении наличия синхронизации поиск сигнала одного ИСЗ прекращается и устройство поиска переключается в режим поиска сигнала следующего ИСЗ. Поиск сигнала второго ИСЗ производится в существенно меньшей зоне неопределенности, так как потребитель в результате дешифрации информационного сообщения Dc(t) первого ИСЗ располагает сведениями о координатах второго ИСЗ на данный момент времени. Общее время, затрачиваемое на поиск сигналов созвездия из четырех ИСЗ, составляет от единиц до десятков минут. После завершения поиска осуществляется слежение за сигналами ИСЗ. Темп выдачи измеряемых координат определяется классом потребителя. В аппаратуре первого класса выдача координат обеспечивается непрерывно в реальном масштабе времени.
Упрощенная структурная схема устройства поиска представлена на рис. 10.9. На выходе генератора кода по команде блока управления поиском

устанавливается код искомого ИСЗ. На выходе синтезатора частот формируется колебание sin2pfjt. Таким образом, на выходе умножителя создается образец XGi(t)sin2pfJt, который поступает на второй умножитель, где образуется его свертка с входным сигналом. Несущая частота образца fj изменяется скачком по команде блока управления сдвигом частоты. Для каждого значения fj производится перебор всех N временных задержек кода XG(t). Такая программа обеспечивает последовательный перебор всех М анализируемых ячеек.
После усиления в усилителе промежуточной частоты (УПЧ), детектирования и последетекторной фильтрации (накопления) в фильтре нижних частот (ФНЧ) напряжение поступает на временной селектор, где образуются выборочные значения, соответствующие моменту появления последнего N-гo символа на периоде Тк кода XG(t). В пороговом устройстве регистрируется результат сравнения выборок с порогом. При превышении порога вырабатывается команда прекращения поиска либо перехода к поиску сигнала очередного ИСЗ.
Схемы слежения за фазой и временем запаздывания сигнала. Схемы слежения за фазой и временем запаздывания сигнала обеспечивают поддержание синхронизма между принимаемым сигналом и опорным образцом, форма которого является копией полезного сигнала. Синхронизация по времени запаздывания производится с помощью системы АПВ, а по фазе - системы ФАПЧ. Слежение осуществляется в условиях, когда несущая частота в спектре сигнала отсутствует, так как код XC(t) имеет практически одинаковое число символов со знаками «+» и «-» на периоде 7*,. Если синхронизация по фазе не может быть реализована (режим поиска, работа в условиях сильных помех и др.), то применяют синхронизацию по частоте (АПЧ). В этом случае системы синхронизации по несущей и АПВ работают в некогерентном режиме, что приводит к увеличению ошибки слежения, во позволяет сохранить состояние захвата в цепи слежения за несущей. Система слежения за несущей и АПВ связаны, так как для работы системы АПВ используется оценка фазы (частоты), а для работы ФАПЧ (АПЧ)-оценка задержки огибающей (кода). Рассмотрим когерентную систему синхронизации. Структурная схема когерентной АПВ и ФАПЧ представлена на рис. 10.10. С выхода УПЧ приемника сигнал XG(t)Dc(t)sin2pfct поступает на фазовый дискриминатор, куда с другой стороны подается опорное напряжение

XG(t)соs(2pfсt-j). Фаза несущей частоты элементарных радиоимпульсов опорного напряжения отличается от фазы импульсов сигнала на j. Близость времен запаздывания сигнала и опорного напряжения поддерживается системой АПВ. Фазовый дискриминатор имеет два канала, отличающиеся лишь тем, что их опорные напряжения сдвинуты по фазе на p/2, т. е. находятся в квадратуре. Каждый из каналов представляет собой умножитель сигнала на опорное напряжение. Вырабатываемые ими напряжения фильтруются в ФНЧ, в результате чего образуются квадратурные составляющие (I и Q) сигнала рассогласования по фазе. В связи с тем что исходный дальномерный сигнал XG(t)Dc(t)sin2pfct манипулировав по фазе сообщением Dc(t), составляющие сигнала ошибки I и Q изменяют свой знак в такт с информационными символами сообщения Dc(t). Для устранения этого влияния используется операция умножения IQ, в результате чего сигнал ошибки освобождается от модуляции символами сообщения. Проанализируем подробнее правило формирования сигнала ошибки. Не нарушая общности рассуждений, сигнал и квадратурные опорные напряжения на входе умножителей 1 и 2 схемы рис. 14.10 можно считать гармоническими: Umcsin2pfct, Um0sin(2pfct-j), Um0cos(2pfct-j),. Тогда на выходах умножителей получим
Umcsin2pfct, Um0sin(2pfct - j), = 0,5 Umc Um0[cosj - cos(4pfct-j))]; (14.9а)
Umcsin2pfct, Um0cos(2pfct - j), = 0,5 Umc Um0[sinj - sin(4pfct-j))]; (14.96)
На выходах ФНЧ
I=0,5 Umc Um0cosj.
Q=0,5 Umc Um0sinj
Сигнал ошибки eош = IQ = 0,125 U2mc U2m0 sin2j (14.10)

Рис.14.11
Зависимость еош = y(j), называемая характеристикой фазового дискриминатора, приведена на рис. 14.11. Апертура фазового дискриминатора равна p. При изменении фазы входного сигнала на 180° сигнал ошибки сохраняет значение и знак, поэтому фазовая манипуляция сигнала символами сообщения Dс(t) не влияет на работу схемы ФАПЧ.
С выхода фазового дискриминатора сигнал ошибки поступает на петлевой фильтр, содержащий одно или несколько интегрирующих звеньев и корректирующие цепи. Тип фильтра определяет порядок астатизма системы ФАПЧ. Имея в виду, что следующим звеном системы является генератор, управляемый напряжением (ГУН), который, в свою очередь, является интегрирующим звеном в системе ФАПЧ, число интеграторов в петлевом фильтре обычно не превышает двух. Наличие трех интеграторов в системе ФАПЧ обеспечивает нулевые динамические погрешности по положению, скорости и ускорению. В установившемся режиме синфазная составляющая (I) сигнала ошибки изменяет знак в такт с символами Dc(t). После устранения амплитудной модуляции в блоке signI она поступает на дешифратор сообщения, а также используется в схеме АПВ для снятия модуляции сигнала ошибки Uош информационным сообщением.
Система АПВ, представленная на рис. 14.10, содержит временной дискриминатор, на который в качестве селектирующих последовательностей подаются опорные напряжения, сдвинутые во времени копии кода Голда XG(t-D/2) и XG[t + D/2). Сдвиг D влияет на форму дискриминационной характеристики и погрешность измерения времени запаздывания. Обычно сдвиг D £ T0=1мкс.
Сигнал ошибки на выходе временного дискриминатора, а следовательно, и на выходе ФНЧ промодулирован знаковой функцией сообщения Dc(t). Для снятия знаковой модуляции используется умножитель, на второй вход которого поступает оценка Dc(t), снимаемая с блока signI. Сигнал ошибки Uош подается на петлевой фильтр, содержащий, как и в системе ФАПЧ, интегрирующие и корректирующие звенья. Порядок астатизма системы АПВ обычно ниже, чем системы ФАПЧ, поскольку здесь динамика может быть учтена пересчетом доплеровского сдвига частоты из системы ФАПЧ. Генератор кода XG(t) построен на двух регистрах сдвига с обратными связями.
Проанализированная система синхронизации представляет собой канал слежения за сигналом одного ИСЗ. Рабочее созвездие содержит несколько ИСЗ, поэтому для решения навигационной задачи необходимо иметь многоканальную аппаратуру слежения либо применять последовательный режим работы, когда определение РНП производится поочередно по каждому ИСЗ рабочего созвездия.
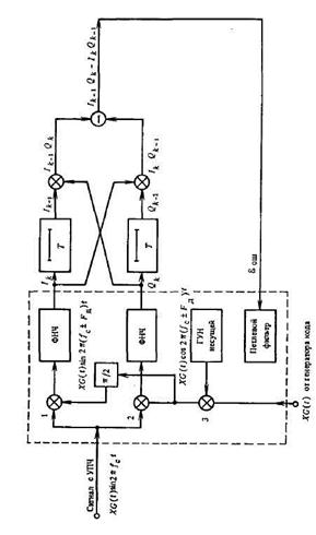
Система автоматической подстройки частоты. Рассмотренная ранее схема когерентного слежения за несущей и задержкой сигнала обеспечивает вхождение в синхронизм, если начальное расхождение несущих частот сигнала и опорного образца не превышает полосы захвата Df, системы ФАПЧ. Обычно после режима поиска априорная неопределенность по несущей частоте составляет около +500 Гц, что превышает полосу захвата ФАПЧ (Dfc»50 Гц). Уменьшение интервала неопределенности по несущей частоте до полосы захвата ФАПЧ производится с помощью системы АПЧ.
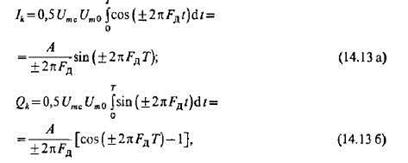
Упрощенная структурная схема системы АПЧ приведена на рис. 14.12. Обведенные пунктирной линией блоки выполняют те же функции, что и одноименные блоки в схеме рис. 14.10. Квадратурные составляющие Iк и Qk образуются так же, как и в схеме рис. 14.10 (индекс к указывает на принадлежность Ik и Qk к интервалу времени с порядковым номером к). Отличие состоит лишь в том, что в установившемся режиме в системе ФАПЧ сигнал и опорные образцы отличаются фазой несущих колебаний, в то время как в системе АПЧ - еще и по частоте (наличие доплеровского сдвига частоты Fd в квадратурных опорных колебаниях). Сигнал ошибки в системе АПЧ образуется по правилу
eош=Ik-1Qk-IkQr-1 04.11
Квадратурные составляющие Iк-1 и Qk-1 запаздывают относительно Iк и Qt на время Т. Не останавливаясь на вопросах технической реализации правила (14.11), рассмотрим его физический смысл. Прежде всего докажем, что сигнал ошибки (14.11) пропорционален сдвигу частот Fd. Не нарушая общности рассуждений, сигнал и квадратурные опорные напряжения на входе умножителей 1 и 2 схемы рис. 14.12 можно принять гармоническими: Umc sin2pfct, Um0sin2p(fc±Fd)t, Um0cos2p(fct±Fd)t. Тогда на выходе умножителей
Umcsin2pfct, Um0sin(2pfct ±Fd) = 0,5 Umc Um0[cos(±2pFdt) - cos2p(2fct±Fd)) (14.12 а)
Umcsin2pfct, Um0cos(2pfct ±Fd) = 0,5 Umc Um0[sin(±2pFdt) + sin(4pfct±Fd))]; (10.12 6)
|
Полагая, что функции ФНЧ выполняют интеграторы с временем интегрирования T>1/fС и сбросом в момент времени, соответствующим времени, соответствующим окончанию к-го интервала интегрирования получаем

Рис.10.12
Зависимость eош/E2 = y (2pFd), называемая характеристикой частотного дискриминатора, представлена на рис. 10.13. Апертура данного частотного дискриминатора равна 2p/T. Увеличение апертуры возможно за счет уменьшения времени интегрирования в ФНЧ и соответствующего снижения времени запаздывания Т между соседними выборками Ik(Qk) и Ik-1(Qk-1). что связано с энергетическими потерями, т. е. увеличением флуктуационной составляющей в сигнале ошибки eош.

Рис.10.13
При T=Tк = NTo = l000 1 мкс= 10-3 с полная апертура составляет 103 Гц, что определяет требования к точности начальной установки частоты ГУН ± 500Гц. Начальная установка частоты ГУН производится в соответствии с решением, вырабатываемым устройством поиска. В приведенном примере размер ячейки неопределенности по частоте в устройстве поиска должен быть не более 500 Гц.
Возвращаясь к рассмотрению схемы АПЧ рис. 10.12, заметим, что порядок астатизма системы АПЧ полностью зависит от построения петлевого фильтра. Действительно, если исключить петлевой фильтр из структуры системы АПЧ, то сигнал ошибки eош,, воздействуя на ГУН несущей, приводит к изменению частоты ГУН в сторону уменьшения Fд, что в свою очередь снизит eош и т. д., до тех пор, пока процесс подстройки не установится. Установившийся режим будет соответствовать некоторому постоянному Fд, т. е. система АПЧ окажется статической. Поэтому введение петлевого фильтра первого порядка астатизма позволяет устранить систематическую ошибку по частоте Fд. В системах АПЧ СРНС «Навстар» порядок астатизма петлевого фильтра обычно не превышает двух.
При анализе правила формирования сигнала ошибки предполагалось, что сигнал и опорное напряжение имеют вид гармонических колебаний. На самом же деле и сигнал и опорные колебания манипулированы по фазе кодом ХG(t). Для приведения в соответствие опорного колебания, вырабатываемого ГУН несущей, с ФМ-сигналом в схеме рис. 10.12 используется умножитель 3, осуществляющий фазовую манипуляцию опорного колебания. Модулирующая функция ХG(t) должна совпадать по времени запаздывания с кодом входного сигнала ХG(t)sin2pfсt. Обеспечение такого синхронизма по коду осуществляется системой АПВ. Система АПВ в данном случае должна быть некогерентной, так как система АПЧ не обеспечивает в отличие от ФАПЧ получения когерентного опорного колебания.
В заключение отметим еще одну особенность правила (10.11) формирования сигнала ошибки eош, а именно независимость сигнала ошибки от изменения фазы несущей сигнала на 180°, Действительно, при сдвиге фазы несущей частоты входного сигнала на 180° знаки квадратурных выборок Ik и Qk так же как и Ik-1 и Qk-1 одновременно изменяются на обратные. Это, как следует из (10,11), никак не влияет на eош.
Литература
1. Тучков Н.Т. "Автоматизированные системы и радиоэлектронные средства управления воздушным движением. Учебник для вузов ". - М.:Транспорт, 1994 - 368 с.
2. Бакулев П. А., Сосновский А. А. "Радиолокационные и радионавигационные системы. Учебное пособие для вузов ". - М.: Радио и связь, 1994 - 296 с.
3. Кузнецов А.А., Козлов А.И., Криницын В.В. и др. " Радиолокационное оборудование автоматизированных систем управления воздушным движением. Учебник для вузов ". под редакцией Кузнецова А.М. М.: Транспорт, 1995 - 344 с.
4. Сменковский Е.Г. "Автоматизация неустановившихся режимов полета самолетов ". - М.: Машиностроение, 1980 - 138 с.
5. Радиотехнические системы. Под ред. Казаринова Ю.М. М.: Высшая школа, 1990.
6. Соловьев Ю.А. Системы спутниковой навигации. М.: Эко-Трендз, 2000.
7. Глобальная спутниковая радионавигационная система ГЛОНАСС /Под ред. В.Н. Харис< А.И. Перова, В.А. Болдина. М.: ИПРЖР, 1998.
8. Липкин И.А. Спутниковые навигационные системы. М.: Вузовская книга, 2001.
9. Щербаков Н.Н. Спутниковые системы навигации
10. ГЛОНАСС Глобальная спутниковая радионавигационная система/ Под ред. Харисова В.Н., Перова А.И., Болдина В.А..-Москва: ИПРЖР.-1998.-399 с.
11. Соловьев Ю.А. Системы спутниковой навигации.- М.: ЭКО – TRED3, 2000.-268 с.
12. Загоруйко В. В., Конин В. В. Обеспечение точных заходов на посадку методами спутниковой навигпции.. – Космична наука і технологія.- Т.7.- №4.- 2001 г.-С. 25-30.