Внутренняя норма рентабельности, индекс доходности,
Индекс окупаемости – по существу явл-ся коэф. рентабельности 1-го вида с учетом дисконты.
ИД – это отношение суммы приведенных эффектов к величине кап. вложений:

Если кап. вложения реализованы за 1год.
Если ЧДД положителен, то индекс доходности больше 1, и проект считается эффективным.
Срок окупаемости – это минимальный временной интервал, за пределами которого эффект становится и в дальнейшем остается неотрицательным т.е. это период, начиная с которого первоначальные кап. вложения и др. затраты связанные с инвестициями в проект покрываются рез-ми его осуществления.
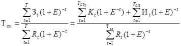
Финансовый срок окупаемости:
.
Простой срок окупаемости:
.
Внутренняя норма рентабельности (ВНР(IRR)) – представляет собой ту норму дисконты, при которой величина приведенных эффектов равна приведенным кап. вложениям.

ВНР – это та ставка дисконты, при которой NPV = 0.

Внутренняя норма рентабельности:

Пример.
Срок службы основного оборудования Тсл = 20 лет.
|
|
|
| К | кап. вложения | ||||
| Ит | ежегодные затраты | ||||
| Rt | доход или эффект |
Ставка дисконты Е = 0.1. Кл = 5%.
Рассчитать эффективность варианта по критерию мах. чисто дисконтированной ст-ти.
РЕШЕНИЕ:

.






