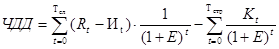
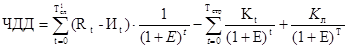
ЧДД – наз-ют сумма текущих эффектов за весь расчетный период. Приведенная к начальному году или к любому другому году приведения:
, где
Rt – рез-ты достигнутые на t-ом шаге расчетов или в t-ом году, Зt – приведенные затраты, оцениваемые на t-ом шаге.
Затраты определяются:
, где
к – кап. вложения, И – издержки, Тсл – горизонт расчета или срок службы оборудования.
Если ЧДД положителен – то проект при данной норме дисконты – эффективен, и наоборот, Е - ставка дисконтирования, банковская ставка.
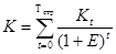
На практике часто используется модифицированные, измененные формулы ЧДД. Это зависит от года приведения. Для этого из состава приведенных затрат исключают кап. вложения к, которые определяются как:
, тогда ЧДД может записаться в виде:
.
В том случае, когда сравниваются варианты, которые хар-ся стабильными по годам расчетного периода показателями, а кап. вложения осуществляются в 1 год (нулевой), то ЧДД м.б. записан:
, где
R – неизменные по годам расчетного периода рез-ты, З – неизменные по годам расчетного периода затраты,
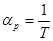
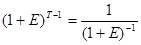
- норма реновации основных фондов, определяется с учетом факторов времени в относительных единицах:
|
|
|
(1).
Затраты определяются как:
, где
- кап. вложения в нулевой год.
Данное условие (1) требует, чтобы к концу расчетного периода равному (T – t), была накоплена сумма равная основным фондом.
Если Е = 0, то сумма в равенстве будет равна сроку амортизации:
,
.
Определим сумму, которая явл-ся убывающей геометрической прогрессии, первый член суммы которой равен:
,
в знаменателе будет:
, т.е
.
Сумма Т- чисел геометрической будет определяться как:
.
Норма реновации:
.
Если в конце расчетного периода остается ликвидная ст-ть, то она должна учитываться, когда выражение ЧДД будет записано:
.
При сравнении вариантов по ЧДД необходимо чтобы период расчета был во всех вариантах одинаков. Для приведения различных периодов используют различные приемы:
1. дополнительный вариант с меньшим сроком Т.
2. увеличивают период расчета, у которого срок службы меньше.
3. определяют по каждому варианту, своего рода среднюю величину эффекта (затрат по годам расчетного периода с учетом фактора времени), т.е.?
, где
.
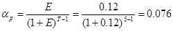
Пример.
Известно: Е = 0.12, кап. вложения К1 = 100, К2 = 90. Издержки И1 = 10, И2 = 13, норма реновации
, реновационные отчисления Иа1 = 5, Иа2 = 4.5. Годовой рез-т в 1 и 2 варианте одинаковы: R1 = R2 = const.
Решение:
.


.

.








