Рециркулятор – усилитель с задержкой на ТЗ с помощью линии задержки (ЛЗ)обратной связью.
Структурная схема приведена на рисунке.
U1(t) U2(t)
+ РЦ
a b
Uy








X ЛЗ
Рециркулирование, т.е. операция суммирования с экспоненциальной весовой функцией. Процесс U1(t) ¹ 0
при 0 £ t £ t и U1(t) = 0 для других t преобразуется в
где i = 0,1,2,…; a = lnb; b - коэффициент умножения,
усиления (обратной связи) между точками a и b;
Uy – выбирают так, чтобы b < 1.
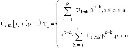
Если U1(t) – последовательность из n импульсов, следующих через интервалы времени
Т = ТЗ с амплитудами U1mh, начинающееся в момент времени t0, то амплитуда напряжения U2(t) в моменты, кратные Т,

Для прямоугольного пакета (U1mi = const) из n импульсов:

Максимум амплитуды на выходе: U1mi (1-bn)/(1-b) получается в момент t0 + (n-1)T
АЧХ рециркулятора имеет гребенчатую форму:
![]() |
K(w)






1
2p/nT

0.7
![]() | ||
![]() |
w1 w1=2p/T w2 w


С максимумами на частотах (r = 0,1….i) и минимумами на
wå` = 2p(e - 0.5)/T (e = 1,2,…). Полоса пропускания «зубца» АЧХ на уровне 0.7 равна
|
|
|
2p(1 - b)/T Öb)» 2p/nT








