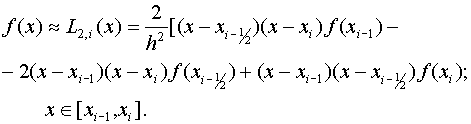
В этом методе предлагается подынтегральную функцию на частичном отрезке аппроксимировать параболой, проходящей через точки
(xj, f (xj)), где j = i -1; i -0.5; i, то есть подынтегральную функцию аппроксимируем интерполяционным многочленом Лагранжа второй степени:
(2.14)
Проведя интегрирование, получим:
(2.15)
Это и есть формула Симпсона или формула парабол. На отрезке
[ a, b ] формула Симпсона примет вид
(2.16)
Графическое представление метода Симпсона показано на рис. 2.4.

Рис. 2.4. Метод Симпсона
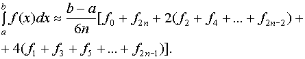
Избавимся в выражении (2.16) от дробных индексов, переобозначив переменные:
(2.17)
Тогда формула Симпсона примет вид
(2.18)
Погрешность формулы (2.18) оценивается следующим выражением:
, (2.19)
где h·n = b - a,
. Таким образом, погрешность формулы Симпсона пропорциональна O (h4).
Замечание. Следует отметить, что в формуле Симпсона отрезок интегрирования обязательно разбивается на четное число интервалов.
2.5. Вычисление определенных интегралов методами Монте–Карло
Рассматриваемые ранее методы называются детерминированными, то есть лишенными элемента случайности.
|
|
|
Методы Монте–Карло (ММК) – это численные методы решения математических задач с помощью моделирования случайных величин. ММК позволяют успешно решать математические задачи, обусловленные вероятностными процессами. Более того, при решении задач, не связанных с какими-либо вероятностями, можно искусственно придумать вероятностную модель (и даже не одну), позволяющую решать эти задачи. Рассмотрим вычисление определенного интеграла
(2.20)
При вычислении этого интеграла по формуле прямоугольников интервал [ a, b ] разбиваем на N одинаковых интервалов, в серединах которых вычислялись значения подынтегральной функции. Вычисляя значения функции в случайных узлах, можно получить более точный результат:
(2.21)
(2.22)
Здесь γi - случайное число, равномерно распределенное на интервале
[0, 1]. Погрешность вычисления интеграла ММК ~
, что значительно больше, чем у ранее изученных детерминированных методов.
На рис. 2.5 представлена графическая реализация метода Монте-Карло вычисления однократного интеграла со случайными узлами (2.21) и (2.22).

Рис. 2.5. Интегрирование методом Монте-Карло (1-й случай)
Однако при вычислении кратных интегралов детерминированными методами оценка погрешности перерастает в задачу порой более сложную, чем вычисление интеграла. В то же время погрешность вычисления кратных интегралов ММК слабо зависит от кратности и легко вычисляется в каждом конкретном случае практически без дополнительных затрат.
Рассмотрим еще один метод Монте-Карло на примере вычисления однократного интеграла:
|
|
|
(2.23)

Рис. 2.6. Интегрирование методом Монте-Карло (2-й случай)
Как видно на рис. 2.6, интегральная кривая лежит в единичном квадрате, и если мы сумеем получать пары случайных чисел, равномерно распределенных на интервале [0, 1], то полученные значения (γ1, γ2) можно интерпретировать как координаты точки в единичном квадрате. Тогда, если этих пар чисел получено достаточно много, можно приблизительно считать, что
. Здесь S – число пар точек, попавших под кривую, а N – общее число пар чисел.
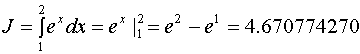
Пример 2.1. Вычислить следующий интеграл:

Поставленная задача была решена различными методами. Полученные результаты сведены в табл. 2.1.
Таблица 2.1
| Число интервалов (точек) | Метод левых прямоугольников | Метод средних прямоугольников | Метод правых прямоугольников | Метод трапеций | Метод Симпсона | Метод Монте-Карло |
| 4.44112722 | 4.66882868 | 4.90820465 | 4.25683746 | 4.67077443 | 4.62289422 | |
| 4.64745932 | 4.67075481 | 4.69416706 | 4.62903035 | 4.67077427 | 4.69812790 |
Замечание. Выбор табличного интеграла позволил нам сравнить погрешность каждого метода и выяснить влияние числа разбиений на точность вычислений.






