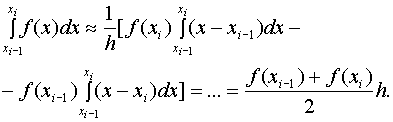
Если на частичном отрезке подынтегральную функцию заменить полиномом Лагранжа первой степени, то есть

, (2.10)
тогда искомый интеграл запишется следующим образом:
(2.11)
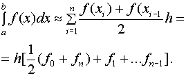
После подстановки выражения (2.11) в (2.5) составная формула трапеций примет вид
(2.12)
Графически метод трапеций представлен на рис. 2.3.

Рис. 2.3. Метод трапеций
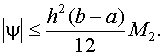
Погрешность формулы (2.12) определяется выражением:
(2.13)
Таким образом, погрешность метода трапеций Ψ ~ O(h² ), но она в два раза больше, чем для формулы средних прямоугольников.






