Вероятностные характеристики случайного процесса определяются либо усреднением по совокупности ансамбля реализаций хi(t):
, (5.36)
где g[xi(t)] – некоторое преобразование, лежащее в основе определения вероятностной характеристики,
либо усреднением по времени с использование k -й реализации:
. (5.37)
Как и другие измерения, измерение статистических характеристик производится с помощью специальных средств, реализующих алгоритм измерений, в том числе и меры, воспроизводящей известную величину.
Используют [15] три алгоритма измерений:
(5.38)
где Sd – оператор усреднения (если усреднение по совокупности d=N, если усреднение по времени, d=Т), r - оператор сравнения,
– результат измерения (оценка) характеристики
.
Как видно, алгоритмы (5.36) отличаются только позициями, занимаемыми в выражении соответствующими операторами. Операция сравнения с мерой может быть: первой в цепи преобразований, второй – после реализации оператора g; и последней, что и отражено в структурных схемах (рис. 5.15).
|
Рис. 5.15. Структура измерений вероятностных характеристик случайных
процессов: а - сравнение с образцовой мерой является первой операцией;
б - выполняется до усреднения; в - является заключительной операцией
Обозначения структурных элементов на схемах соответствуют обозначениям тех операторов, которые ими реализуются. В качестве устройства усреднения Sd может быть использован сумматор или интегратор.
На рис. 5.15, а показана реализация следующей процедуры: на первом этапе с помощью блока r формируется массив числовых эквивалентов мгновенных значений реализаций случайного процесса, после чего преобразование g и усреднение Sd проходят в цифровой форме. Эти процессы могут быть реализованы последовательным соединением аналого-цифрового преобразователя и вычислительного устройства (например, микропроцессорного). На выходе АЦП формируется массив мгновенных значений, а процессор по определенной программе обеспечивает реализацию операторов g и Sd.
Процедура, осуществляемая структурой б (см.рис.5.15), начинается с преобразования совокупности реализаций {xi(t)} в совокупность преобразованных реализаций {g[xi(t)]}; затем с помощью компаратора r выполняется сравнение с известной величиной g0. На выходе компаратора формируется числовой массив {g*[xi(ti)]}, который поступает в вычислительное устройство, осуществляющее операцию усреднения Sd и выдающее результатв цифровой форме.
Структура, показанная на схеме в (см.рис. 5.15) реализует процедуру измерений, которая на первом этапе проходит так же, как в предыдущем случае, но затем совокупность {g[xi(t)]} поступает на усреднение Sd, после которого величина Sd[{g[xi(t)]}] поступает на компаратор r, осуществляющий сравнение с известной величиной q0. На выходе компаратора имеем
.
Рассмотрим алгоритмы измерений основных статистических характеристик [15].
Измерение математического ожидания. Чаще всего производится усреднением по времени.
Алгоритм измерения:
. (5.39)
![]() |
Структурная схема реализации данного алгоритма (рис. 5.16) в простейшем случае включает набор последовательно соединенных масштабного преобразователя МП, интегратора И, аналогового измерителя АИ.
Рис. 5.16. Структура измерений математического ожидания
Основным преобразователем в измерительной цепи является интегратор И, осуществляющий усреднение по времени. Возможны варианты схемы с выходом интегратора на цифровой измерительный прибор, самопишущий прибор и т.д.
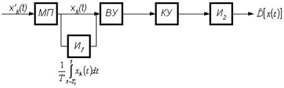
Дисперсия случайного процесса характеризует математическое ожидание квадрата отклонения мгновенных значений реализаций от математического ожидания.
Алгоритм измерений, реализуемый структурой, представленной на рис.5.17:
. (5.40)
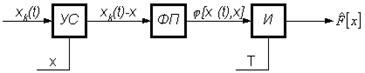
Одномерная интегральная функция распределения F(х), определяемая как вероятность того, что в произвольный момент времени мгновенное значение реализации не превысит заданного уровня, т.е. xi(tj)£x, определяется как предел выборочного среднего
![]() |
, (5.41)
где 
Рис. 5.17. Структура измерений дисперсии случайного процесса:
ВУ – вычитатель; КУ - квадратирующее устройство
Практически выражение (5.41) представляется как алгоритм измерения оценки
в виде
. (5.42)
Обобщенная схема реализации алгоритма (5.42) показана на рис.5.18. Здесь: УС устройство сравнения, работающее в режиме вычитателя, формирующего сигнал xk(t)-x; ФП – функциональный преобразователь,
![]() |
реализующий функцию j[ xk(t),x], И – интегратор, Т - время наблюдения.
Рис. 5.18. Структурная схема измерения интегральной функции
распределения вероятности
Выражение для алгоритма измерения дифференциальной функции распределения вероятностей f(x) может быть получено, если учесть, что f(x) и F(x) связаны между собой известными соотношениями:
.
Тогда справедливо выражение
, (5.43)
где 
При соблюдении условий стационарности и эргодичности интегральная функция распределения может характеризоваться относительным временем пребывания значений реализации ниже заданного уровня х:
, (5.44)
где i – интервал времени пребывания; n – число интервалов.
Соответственно выражение для дифференциальной функции можно представить в виде
, (5.45)
где Dх – ширина «дифференциального коридора», т.е. расстояние между соседними уровнями хк и хк+1; Dti – i -й интервал времени пребывания реализации между уровнями хк и хк+1.
На основании (5.44) и (5.45) алгоритмы измерений:
. (5.46)
Применяются и другие алгоритмы, например, основанные на методе дискретных выборок.
Измерение корреляционной функции с усреднением по времени производятся по алгоритму
. (5.47)
Структура измерительного устройства, реализующего данный алгоритм, представлена на рис. 5.19.
Рис. 5.19. Схема измерений корреляционной функции
С выхода масштабного преобразователя МП сигнал разветвляется, одновременно поступая на перемножающее устройство ПУ и на устройство временной задержки УЗ, с помощью которого получается сигнал xk(t-t). Этот сигнал также поступает на ПУ, осуществляющее перемножение мгновенных значений, сдвинутых на интервал t. Результирующий сигнал поступает на интегратор И, с помощью которого осуществляется операция усреднения. На выходе интегратора получаем оценку корреляционной функции
.
Измерение спектра мощности сигнала производится в соответствии с формулой
, (5.48)
где xiT(w) - спектральная плотность сигнала на интервале усреднения Т, определяется согласно преобразованию Фурье по формуле
. (5.49)
В соответствии с (5.48) алгоритм измерения
![]() |
. (5.50)
Схема реализации данного алгоритма показана на рис. 5.20.
Рис. 5.20. Схема измерения спектра мощности
![]() |
Нормированный сигнал i -й реализации с масштабного преобразователя МП поступает на функциональный преобразователь ФП, выполняющий преобразование Фурье. Затем с помощью квадратирующего преобразователя КВ производится возведение в квадрат и нормирование с учетом интервала усреднения Т.




