Способы регулирования скорости двигателя постоянного тока
Анализ уравнения механической характеристики позволяет определить способы регулирования скорости электродвигателей. Для регулирования скорости можно использовать изменение следующих параметров электродвигателя:
– изменением сопротивления якорной цепи путем введения добавочных сопротивлений (схема рис. 62) D =4:1, характеристики становятся мягкими;
– изменением магнитного потока путем введения дополнительного сопротивления в цепь обмотки возбуждения D =2:1, регулирование происходит только вверх;
– изменением напряжения, подводимого к якорной цепи при наличии индивидуального источника питания двигателя D =100:1, наиболее удачный тип регулирования. Оно широко применяется, но необходим или генератор постоянного тока или тиристорный преобразователь.
Механическая характеристика двигателя, полученная при отсутствии добавочных сопротивлений в якорной цепи, при номинальных значениях магнитного потока и питающего напряжения называется естественной.
|
|
|
Пуск двигателя постоянного тока может быть осуществлен прямым включением в сеть, введением реостата в цепь якоря или же изменением напряжения источника питания. Пуск путем непосредственного включения двигателя в четь применяется для двигателей небольшой мощности (до 1-2 кВт). В первый момент в обмотке якоря неподвижного двигателя отсутствует противо-ЭДС и бросок тока превышает номинальное значение в 8-10 и более раз, а механический удар воздействует на детали передачи от двигателя к рабочей машине. Большие толчки тока, получающиеся при включении крупных двигателей, вредно отражаются на работе остальных потребителей, подключенных к сети. У малых двигателей разгон происходит быстро (в течение 0,1-0,3 с), обмотка якоря не успевает значительно нагреться, а толчок тока оказывается по абсолютной величине небольшим.
![]() |
Рис. 62.
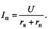
Для ограничения пускового тока в цепь якоря двигателя включают специальный пусковой реостат, сопротивление которого rп по мере разгона двигателя постепенно полностью выводится. Значение начального пускового тока

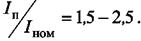
Обычно сопротивление rп выбирается так, чтобы пусковой ток был несколько больше номинального:
Пусковой реостат не предназначен для длительной работы в цепи якоря. Поэтому по окончании пуска необходимо убедиться, что он полностью отключен, иначе оставшаяся включенной его часть перегреется и будет повреждена.
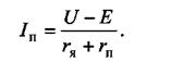
В процессе разгона в обмотке якоря появляется противо-ЭДС, и ток в какой-либо момент времени определяется выражением

По мере увеличения скорости возрастания ЭДС E и при неизменном значении rп уменьшаются ток в якоре и момент, развиваемый двигателем.
|
|
|
Когда этот момент станет равным моменту сопротивления на валу, возрастание скорости прекратится. При уменьшении сопротивления rп увеличиваются ток и вращающий момент, который станет больше момента сопротивления, что, приведет к дальнейшему возрастанию скорости. Обычно пусковой реостат имеет несколько ступеней, выводимых последовательно одна за другой.
Пуск происходит быстро и легко, когда двигатель развивает значительный момент, превышающий момент сопротивления на валу. Поэтому пуск производится при максимальном значении потока, для чего перед пуском необходимо вывести полностью сопротивление регулировочного реостата в цепи возбуждения. Схема двигателя должна быть собрана так, чтобы ток возбуждения не зависел от тока в якоре и не изменялся при манипуляциях с пусковым реостатом. Поэтому цепь возбуждения всегда получает питание от независимого источника. При остановке двигателя и отключении его от сети следует ввести полностью пусковое сопротивление и вывести регулировочное сопротивление в цепи возбуждения, т.е. подготовить двигатель к последующему пуску.







