ПРИ БУРЕНИИ СКВАЖИН
При различных видах бурения, распиловке, шлифовке и т.д., одновременно разрушению подвергается не весь объем горной породы, а только незначительная часть. Условия напряженного состояния в процессе бурения до разрушения обуславливается высоким всесторонним сжатием. Поэтому все механические характеристики (горных пород), получаемые при обычных методах испытаний, не дают полной картины поведения горных пород в процессах разрушения при бурении.
Рабочая часть режущего инструмента (долота, коронки и т.д.) имеет форму одностороннего или двустороннего клина.
Для того, чтобы разрушить таким клином породу, необходимо создать давление, достаточное для его внедрения в горную породу.
На схеме (рис.24) показано взаимодействие элементов вооружения различных долот с горной породой.

а. Резание - скалывание б. Дробление в. Дробление - скалывание
Рис.24
Схемы взаимодействия элементов вооружения долота с горной породой
R - сила, вдавливающая зуб долота в породу;
Vс - скорость вращения долота;
w - угловая скорость вращения шарошки;
Vу - скорость перемещения соседнего зуба к поверхности породы (со скоростью
наносится удар по породе).
;
где Vw = w×r.
Здесь r - расстояние от вершины зуба до мгновенного центра вращения шарошки.
Особую сложность представляет дробяще-скалывающее разрушение горной породы.
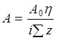
Взаимодействие элемента вооружения долота с горной породой характеризуется реализуемой энергией, которая может быть определена по формуле:
;
где А - работа, производимая за одно действие зубца;
А0 - работа, совершаемая долотом за один оборот;
h - коэффициент передачи мощности вооружения долота;
i - передаточное отношение от долота к шарошке;
Sz - число элементов вооружения долота.
У долот радиус кривизны вершины режущей кромки во много раз больше, чем у металлорежущего инструмента, а в некоторых случаях он равен бесконечности, т. е. Вершина срезана полностью.
В начальный период долото соприкасается с породой по линии, а затем по мере увеличения нагрузки вследствие упругого сжатия по некоторой поверхности, ограниченной двумя параллельными линиями.
При достижения предела упругости по начальной площади контакта наступает разрушение.
Начальное разрушение на минимальную глубину для данной степени «остроты» зависит только от геометрии вершины режущей кромки.
По мере углубления все большее значение приобретают макрогеометрические формы режущей части долот, главным образом, угол заострения.
В связи с этим необходимо проанализировать условия напряженного состояния при вдавливании, т. е. Рассмотреть предельные напряженные состояния и механизм элементарных процессов разрушения при вдавливании.
В основе решения этих задач лежит классическая задача Буссинеска о действии сосредоточенной силы на упругую плоскость, ограничивающую полубесконечное тело.
При решении различных задач на вдавливание принимаем, что материал вдавливаемых элементов абсолютно жесткий.