Условие равномерного всестороннего сжатия соблюдается тогда, когда все главные напряжения равны между собой, т. е.
s1 = s2 = s3,
В этом случае касательные напряжения равны нулю. При равномерном всестороннем сжатии может произойти только упругое изменение исследуемой породы без следов остаточной информации и следов разрушения после снятия давления.
Если испытанию подвергаются малопрочные, пористые породы (глины, песчаники и т. д.), то такие породы при равномерном всестороннем сжатии деформируются. У таких пород наблюдается остаточное изменение объема.
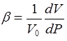
Испытывая горные породы при всестороннем равномерном сжатии сжимаемость минералов и пород можно охарактеризовать коэффициентом объемного сжатия b и модулем объемного сжатия К.
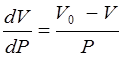
Под коэффициентом объемного сжатия b понимают относительное уменьшение объема V с увеличением давление на 1 кгс/см2, т. е.
,
где V0 - первоначальный объем при нормальных давлении и температуре.
Если в процессе деформирования соблюдается закон Гука, то:
,
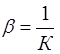
В этом случае коэффициент объемного сжатия определяется по формуле:
.
Исходя из условия s1 = s2 = s3 и равно s0 - среднее давление, можно записать Р = s0.
В этом случае
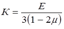
, где К - модуль объемной деформации, определяемый по формуле, рассмотренной в 1-й лекции:
.
Коэффициент b для большинства горных пород и минералов составляет 10-6 - 10-7 см2/кгс, что говорит о том, что изменение объема минерала по сравнению с приложенной нагрузкой - величина незначительная.
С увеличением давления свыше критического, коэффициент b для алмаза, оливина, кальцита и железисто-магнезиальных силикатов не изменяется.
У горных пород, таких как гранит, сиенит, диорит и габбро коэффициент b с увеличением давления уменьшается за счет увеличения числа и площади контактов между отдельными зернами. В этом случае происходит уплотнение структуры. (Например, сжимаемость известняков при небольших давлениях очень высокая b = (2,3 - 2,7)×10-6, а при давлениях более высоких 2000 кг/см2 - b = 1,39×10-6,что соответствует b для кальцита).
Коэффициент объемного сжатия b у горных пород всегда больше или равен среднему коэффициенту объемного сжатия минералов, входящих в состав данной горной породы. Это можно объяснить тем, что горные породы сложены менее плотно с наличием большого количества дефектов в виде каверн, трещин и пр.






