Более значительные изменения в механических свойствах горных пород происходит при неравномерном всестороннем сжатии. При неравномерном всестороннем сжатии увеличивается прочность горных пород на сжатие, а также появляется способность к значительным пластическим деформациям.
Приложим к образцу в вертикальном направлении дополнительное усилие, в результате чего сложатся условия неравномерного всестороннего сжатия, т. е.
s1 > s2 = s3.
Измеряя разность давлений s1 - s2 и величину деформации сжатия, можно построить зависимость в координатах: s1 - s2 - дифференциальное давление и e - относительное сжатие (укорочение образца).
В результате исследований (Карман) установлено, что предел упругости (в данном случае можно его считать равным пределу текучести) горных пород с ростом давления на образец увеличивается. (Например, для мрамора при увеличении давления от нуля до 1659 кг/см2 предел упругости возрастает с 1360 до 3900 кг/см2).
Прочность горных пород при всестороннем сжатии увеличивается за счет объема минералов, входящих в их состав. В этом случае расстояние между зернами горной породы сокращается, что вызывает увеличение сил взаимодействия, а, следовательно, и увеличение прочности породы.
В сложном напряженном состоянии на прочность горных пород оказывает влияние величина касательного напряжения, которое растет вместе с напряжением, нормальным к поверхности скольжения.
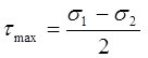
При неравномерном всестороннем сжатии вида s1 > s2 = s3.
Максимальное касательное напряжение будет равно:
.
На основании опытов установлено, что в случае неравномерного всестороннего сжатия прочность горных пород значительно выше, чем при одноосном сжатии. Для горных пород справедливо будет следующее выражение:
sвссж > sсж > tсдв >sи > sр,
где sвссж - прочность породы при неравномерном всестороннем сжатии.






