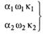
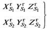
Элементы внешнего ориентирования пары снимков определяют их положение во время фотографирования. К ним относятся:
геодезические координаты левого и правого центров проекций S1 и S2,
углы наклона и поворота левого и правого снимков.
Таким образом, пара снимков имеет 12 элементов внешнего ориентирования.
Расположить пару снимков в геодезическом пространстве так, как она была расположена во время фотографирования, можно, используя иные 12 элементов ориентирования: 5 элементов взаимного ориентирования пары снимков и 7 элементов внешнего (геодезического) ориентирования построенной модели местности.
2. ЭЛЕМЕНТЫ ВЗАИМНОГО ОРИЕНТИРОВАНИЯ ПАРЫ СНИМКОВ
Элементы взаимного ориентирования (угловые элементы) определяют взаимное положение пары снимков во время фотографирования, при котором каждая пара соответственных лучей пересекается. Все множество точек пересечения соответственных лучей является пространственной моделью местности.
